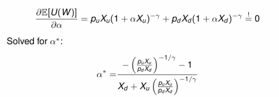
A Anika New member Joined Mar 5, 2024 Messages 1 Mar 5, 2024 #1 Hey all, Our proffesor just skiped over this in his lecture without explaining and i have been struggeling to solve this. Any help is welcome Attachments Algebra Problem.PNG 19 KB · Views: 6 Notes.jpeg 95.9 KB · Views: 5
Hey all, Our proffesor just skiped over this in his lecture without explaining and i have been struggeling to solve this. Any help is welcome
blamocur Elite Member Joined Oct 30, 2021 Messages 3,282 Mar 5, 2024 #2 You can express [imath]\frac{1+\alpha X_u}{1+\alpha X_d}[/imath] through other variables, then solve for [imath]\alpha[/imath].
You can express [imath]\frac{1+\alpha X_u}{1+\alpha X_d}[/imath] through other variables, then solve for [imath]\alpha[/imath].