Prove middle term formula

Mondo

Junior Member
Joined
Apr 23, 2021
Messages
127
Hey,

How can we prove the middle term formula of the arithmetic series with odd number of elements is `(n+1)/2`. So lets consider the series `3 + 5 + 7 + 9 + 11`, we have 5 elements and the middle term is 7 which can be obtained by `(n+1)/2` but how to prove this formula?

Thanks
 
Hey,

How can we prove the middle term formula of the arithmetic series with odd number of elements is `(n+1)/2`. So lets consider the series `3 + 5 + 7 + 9 + 11`, we have 5 elements and the middle term is 7 which can be obtained by `(n+1)/2` but how to prove this formula?

Thanks
The formula gives the index of the middle term, not the middle term itself, as you know. The index of the first term is 1; the index of the last term is n. So the index of the middle term is just the average of 1 and n, which is \(\frac{n+1}{2}\).

If you want to confirm that, you can calculate the number of terms between this and the first term, and between this and the last term. You will find that the resulting expressions are equal.
 
Yes `(n+1)/2` is for the index but you can get the value as well by adding first and the last term -> `(a_1+a_n)/2`. I am still not convinced about the proof. How to show that the value of the middle term can be obtained by above formula? It all started from the sum of a arithmetic series -> `S_n = 1 + 2 + 3 + ... + (n-2) + (n-1) + n` so we notice that we have `n/2` pairs of `n+1` but only if n is even! If n happen to be odd we have `(n-1)/2` pairs and we need to show that the remaining elements is indeed equal to `(n+1)/2` so we get `(n-1)/2 * (n+1) + (n+1)/2 = (n(n+1))/2`
 
Yes `(n+1)/2` is for the index but you can get the value as well by adding first and the last term -> `(a_1+a_n)/2`. I am still not convinced about the proof. How to show that the value of the middle term can be obtained by above formula? It all started from the sum of a arithmetic series -> `S_n = 1 + 2 + 3 + ... + (n-2) + (n-1) + n` so we notice that we have `n/2` pairs of `n+1` but only if n is even! If n happen to be odd we have `(n-1)/2` pairs and we need to show that the remaining elements is indeed equal to `(n+1)/2` so we get `(n-1)/2 * (n+1) + (n+1)/2 = (n(n+1))/2`
Let's say t is the first term. By definition, the last term is `t+(n-1)d`
The average of first and last:
`(t + t+(n-1)d)/2 = t + ((n-1)/2)d`

The term with the index `(n+1)/2` is `t+((n+1)/2 -1)d = t + ((n-1)/2)d`
 
Last edited:
Yes `(n+1)/2` is for the index but you can get the value as well by adding first and the last term -> `(a_1+a_n)/2`.
That's true for an arithmetic sequence; but of course that is not the formula you asked about. Moreover, neither is really about the arithmetic series, which is the sum rather than the list of terms.

Please state your actual question. Which formula do you want proved, and what are you assuming as known?
 
I'm not sure what question you are asking but they are similar.

You have a sequence of 5 numbers and say that the "middle number" is the third one since (5+ 1)/2= 3.

Yes, the sequence 1, 2, 3, ... n and the "middle number IS (1+ n)/2.
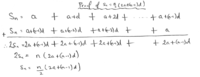
We can see that by writing the sum of those numbers:
1+ 2+ 3+ ...+ n-2+ n-1+ n and under it write the numbers reversed
n+ n-1+n-2+...+ 3 + 2+ 1 and add them:
n+1+ n+1+ n+ 1+...+ n+1+ n+1+ n+1

That is n+ 1 added n time so adds to n(n+1). Since it has been added twice, that is 2 times the sum: 1+ 2+ 3+ ....+ n-2+ n-1+ n= n(n+1)/2. There are a total of n numbers so the average is (n+1)/2.

The other question is about adding an arithmetic sequence, a+ (a+ d)+ (a+ 2d)+ ....+ (a+ nd).
There are n "a" and there sum is na. The rest, d+ 2d+ .... +nd= d(1+ 2+ ...+ n). We have already seen that 1+ 2+ ... + n is n(n+1)/2 so the total is na+ n(n+1)/2 and the average is a+ (n+1)/2.
 
Please state your actual question. Which formula do you want proved, and what are you assuming as known?

I want to prove the arithmetic series formula using the fact that its elements taken in pairs in a certain way all sum to the same number. The equation for each term of this sequence is `a_n = a_1 + (n-1)d`. So for `a_1 = 3`, `d = 2` and `n = 5` we get a series `Sn = 3 + 5 + 7 + 9 + 11` By empirical studies we notice that in any arithmetic series with even number of elements we have `n/2` pairs of the same value, namely `(a_n+a_1)`. Hence with no doubt we can simply write, the entire sum is equal to `n/2 * (a_n+a_1)`. Now what if `n` is odd? Then we can say that still there is even numbers of pairs + one more term, so our sum for odd number of elements is `(n-1)/2 * (a_n+a_1) + X`. Since we know that the formula for even number of elements is valid for odd number of elements as well (proof @HallsofIvy showed) here w need to show that `X = (a_n + a_1)/2` so we get `(n-1)/2 * (a_n+a_1) + (a_n + a_1)/2 = n/2 * (a_n+a_1)`. So first we need to find out which element is the remaining one and then, get its value. The element which remains unpaired is the one which has equal number of elements on its left and right side, we know it is element with index `(n+1)/2` but hmm can we prove it? What @lev888 derived is almost that, once we prove `X` is the middle term with index `(n+1)/2` we can find its value using @lev888 formulas - its value will be the same as the average of first and last element. So the goal is to prove index of missing element. How to show that?
 
I want to prove the arithmetic series formula using the fact that its elements taken in pairs in a certain way all sum to the same number. The equation for each term of this sequence is `a_n = a_1 + (n-1)d`. So for `a_1 = 3`, `d = 2` and `n = 5` we get a series `Sn = 3 + 5 + 7 + 9 + 11` By empirical studies we notice that in any arithmetic series with even number of elements we have `n/2` pairs of the same value, namely `(a_n+a_1)`. Hence with no doubt we can simply write, the entire sum is equal to `n/2 * (a_n+a_1)`. Now what if `n` is odd? Then we can say that still there is even numbers of pairs + one more term, so our sum for odd number of elements is `(n-1)/2 * (a_n+a_1) + X`. Since we know that the formula for even number of elements is valid for odd number of elements as well (proof @HallsofIvy showed) here w need to show that `X = (a_n + a_1)/2` so we get `(n-1)/2 * (a_n+a_1) + (a_n + a_1)/2 = n/2 * (a_n+a_1)`. So first we need to find out which element is the remaining one and then, get its value. The element which remains unpaired is the one which has equal number of elements on its left and right side, we know it is element with index `(n+1)/2` but hmm can we prove it? What @lev888 derived is almost that, once we prove `X` is the middle term with index `(n+1)/2` we can find its value using @lev888 formulas - its value will be the same as the average of first and last element. So the goal is to prove index of missing element. How to show that?
If the number of pairs is `(n-1)/2`, then that's the number of elements to the left of the middle one. Add 1 and you get the middle index.
 
I want to prove the arithmetic series formula using the fact that its elements taken in pairs in a certain way all sum to the same number. The equation for each term of this sequence is an=a1+(n−1)dan=a1+(n-1)d. So for a1=3a1=3, d=2d=2 and n=5n=5 we get a series Sn=3+5+7+9+11Sn=3+5+7+9+11 By empirical studies we notice that in any arithmetic series with even number of elements we have n2n2 pairs of the same value, namely (an+a1)(an+a1). Hence with no doubt we can simply write, the entire sum is equal to n2⋅(an+a1)n2⋅(an+a1). Now what if nn is odd? Then we can say that still there is even numbers of pairs + one more term, so our sum for odd number of elements is n−12⋅(an+a1)+Xn-12⋅(an+a1)+X. Since we know that the formula for even number of elements is valid for odd number of elements as well (proof @HallsofIvy showed) here w need to show that X=an+a12X=an+a12 so we get n−12⋅(an+a1)+an+a12=n2⋅(an+a1)n-12⋅(an+a1)+an+a12=n2⋅(an+a1). So first we need to find out which element is the remaining one and then, get its value. The element which remains unpaired is the one which has equal number of elements on its left and right side, we know it is element with index n+12n+12 but hmm can we prove it? What @lev888 derived is almost that, once we prove XX is the middle term with index n+12n+12 we can find its value using @lev888 formulas - its value will be the same as the average of first and last element. So the goal is to prove index of missing element. How to show that?
Proofs are technically impossible for us to help with because we do not know the axioms, definitions, and previously proved theorems that you can use. We have to guess. But here is a fairly concise proof.

[MATH]\text {Prove that if } n \text { is an odd positive integer, then}\\ \left (\displaystyle \sum_{j=1}^n a + (j - 1)d \right ) = n\{a + (m - 1)d\}, \text { where } m = \dfrac{n + 1}{2}. [/MATH]First, lets demonstrate that a + (m - 1)d is the middle term. Because n is odd, let x be the number of terms that precede and succeed the middle term.

[MATH]x + 1 + x = n \implies 2x = n - 1 \implies x = \dfrac{n - 1}{2}.[/MATH]
And obviously the middle term is x + 1

[MATH]\dfrac{n - 1}{2} + 1 = \dfrac{n - 1}{2} + \dfrac{2}{2} = \dfrac{n + 1}{2} = m \text { by definition.}[/MATH]
[MATH]\therefore \text {the middle term of the series is the } m^{\text{th}} \text {term} \implies[/MATH]
[MATH]\text {the middle term of the series} = a + (m - 1) \text{ by definition.}[/MATH]
[MATH]\left ( \sum_{j=1}^n a + (j - 1)d \right ) = \left ( \sum_{j=1}^n a - d + jd \right ) =[/MATH]
[MATH]\left ( \sum_{j=1}^n a - d \right ) + \left ( \sum_{j=1}^n jd \right ) = \left \{ (a - d) * \sum_{j=1}^n 1 \right \} + \left ( d * \sum_{j=1}^n j \right ) =[/MATH]
[MATH](a - d)n + d * \dfrac{n(n + 1)}{2} = n \left ( a - d + d * \dfrac{(n + 1)}{2} \right ) = n(a - d + dm) \implies [/MATH]
[MATH]\left ( \sum_{j=1}^n a + (j - 1)d \right ) = n\{a + d(m - 1)\} \text { Q.E.D.}[/MATH]
 
Thank you @JeffM & @lev888. The prove of middle term index is nice and simple. @JeffM the only caveat I have to your calculations is at some point you use the formula for the sum of arithmetic series which is in fact the very thing we are proving... anyway I think the prove is done.
 
Thank you @JeffM & @lev888. The prove of middle term index is nice and simple. @JeffM the only caveat I have to your calculations is at some point you use the formula for the sum of arithmetic series which is in fact the very thing we are proving... anyway I think the prove is done.
There is a distinct proof for what I used, which does not depend on the general formula for an arithmetic series.

[MATH]\sum_{j=1}^n j = \dfrac{n(n + 1)}{2}.[/MATH]
[MATH]n = 1 \implies \sum_{j=1}^n j = 1 = \dfrac{2}{2} = \dfrac{1(1 + 1)}{2}.[/MATH]
Therefore there exists at least one positive integer for which the proposition is true. Let k be an arbitrary one of those positive integers.

[MATH]\therefore \sum_{j=1}^k j = \dfrac{k(k + 1)}{2} = \dfrac{k^2 + k}{2}.[/MATH]
[MATH]\sum_{j=1}^{k+1} j = \left ( \sum_{j=1}^k j \right ) + k + 1 = \dfrac{k^2 + k}{2} + \dfrac{2k + 2}{2} = \dfrac{k^2 + 3k + 2}{2} = \dfrac{(k + 1)(k + 2)}{2} = \dfrac{(k + 1)\{(k + 1) + 1\}}{2}.[/MATH]
This is why I said it is so hard to help with proofs.
 
Yes @lex, this is probably the easiest proof but here I wanted to dig deeper into the case where we have odd number of elements. I feel like we covered it all now. Thanks!
 
x+1+x=n⟹2x=n−1⟹x=n−12.x+1+x=n⟹2x=n−1⟹x=n−12.\displaystyle x + 1 + x = n \implies 2x = n - 1 \implies x = \dfrac{n - 1}{2}.

And obviously the middle term is x + 1

If the number of pairs is `(n-1)/2`, then that's the number of elements to the left of the middle one. Add 1 and you get the middle index.

Yes. I see that. Dealt with by JeffM and lev888
 
Top