ThineMadCatter
New member
- Joined
- May 7, 2022
- Messages
- 1
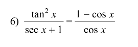
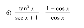
I have been doing these trig identities in class and I am having a hard time knowing how to do this problem. Any help is appreciated

The suggestion others have made is a good one, based on the fact that the RHS contains cosines, so it is appropriate to change the LHS in that direction. This is a good general principle. Another is that changing to sines and cosines often makes it easier to see what to do next, by reducing the complexity of a problem and using the most familiar forms.I have been doing these trig identities in class and I am having a hard time knowing how to do this problem. Any help is appreciated