goldiecr12
New member
- Joined
- Mar 17, 2020
- Messages
- 8
In my advanced microeconomic class, i have the following question
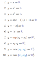
determine if the fonction ? = min {?1 , ?2} -> ℝ2 is (strictly) concave/convex, (strictly) quasiconcave/quasiconvexe, on its domain.
I have no idea how to approch the problem
determine if the fonction ? = min {?1 , ?2} -> ℝ2 is (strictly) concave/convex, (strictly) quasiconcave/quasiconvexe, on its domain.
I have no idea how to approch the problem
