Question about fractions

hupfer

New member
Joined
May 17, 2019
Messages
2
Hello,
Could someone help me with a simple problem?
I would like to know how to solve a fraction within a fraction.
Example:
10/4/x

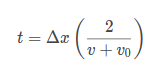
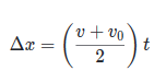
The issue I'm having is with a formula from a physics problem. I have this formula 12181 and I need to rearrange like this 12182. I don't quite understand how to get there.
 
The issue I'm having is with a formula from a physics problem. I have this formula View attachment 12181
I need to rearrange like this View attachment 12182. I don't quite understand how to get there.
\(\displaystyle \begin{align*}\Delta x &= \left( {\frac{{v + {v_0}}}{2}} \right)t\\{\left( {\frac{{v + {v_0}}}{2}} \right)^{ - 1}}\Delta x &= t\\\left( {\frac{2}{{v + {v_0}}}} \right)\Delta x &= t \end{align*}\)
 
Would you care to elaborate a little bit more?
I'm having trouble understanding how you got the negative exponent

 
Hello,
Could someone help me with a simple problem?
I would like to know how to solve a fraction within a fraction.
Example:
10/4/x

In this example the answer would be [MATH]\frac{10x}{4}[/MATH] which can be simplified to [MATH]\frac{5x}{2}[/MATH]. When dividing a fraction by a number, you keep the denominator the same (in this case 4) and multiply the numerator (10) by the number on the bottom (x).

The issue I'm having is with a formula from a physics problem. I have this formula View attachment 12181 and I need to rearrange like this View attachment 12182. I don't quite understand how to get there.

For this physics equation, you want to isolate t, so you need to divide both sides by [MATH]\frac{v + v_{o}}{2}[/MATH]. This will give you [MATH]t = \frac{Δx}{\frac{v + v_{o}}{2}}[/MATH]. Using the same technique as above, we keep the denominator the same (v + vo) and multiply the numerator (Δx) by the number on the bottom (2). This will give you [MATH]t = \frac{2 Δx}{v + v_{o}}[/MATH] or as your equation shows [MATH]t = Δx(\frac{2}{v + v_{o}})[/MATH]. I hope this clears up some of the confusion.
 
Hello,
Could someone help me with a simple problem?
I would like to know how to solve a fraction within a fraction.
Example:
10/4/x

The issue I'm having is with a formula from a physics problem. I have this formula View attachment 12181 and I need to rearrange like this View attachment 12182. I don't quite understand how to get there.
\(\displaystyle Δx=\left(\dfrac{v+v_0}{2}\right)t \)

Multiply both sides by 2 - to get,,

\(\displaystyle 2 * Δx = (v+v_0) * t \)

can you continue?
 
Top