Good Afternoon Everyone, hope you are all well.
I've been asked to convert a complex number from rectangular form to polar form, which I normally don't have an issue with, but they have said no calculators!!
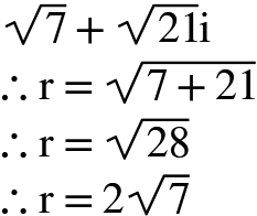
I have drawn the Argand diagram and worked out the modulus as below.

With the angle, I get as far as

Now the textbook shows the answer is

but I don't understand how to convert the square root of 3 to pi over 3 without using a calculator?
As always, any assistance is appreciated.
I've been asked to convert a complex number from rectangular form to polar form, which I normally don't have an issue with, but they have said no calculators!!
I have drawn the Argand diagram and worked out the modulus as below.

With the angle, I get as far as

Now the textbook shows the answer is

but I don't understand how to convert the square root of 3 to pi over 3 without using a calculator?
As always, any assistance is appreciated.