Reduction formula help

Moistwh

New member
Joined
Mar 16, 2019
Messages
13
Hi I need to find a reduction formula for x^ne^x^2
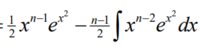
12105
This is is answer
12106
However i have n/2 and not n-1/2, help
 
You mean (n-1)/2, not n-1/2, which means n - (1/2), right?

Please show your work, so we can see what you did wrong. Your result is wrong, if you are looking for confirmation.

We'll be looking for what your u and v are, and how you carried out the details.
 
So you took u = x^n, so that du = n x^{n-1}, and dv = e^{x^2} dx. Is that what your notation means?

But the integral of e^{x^2} dx is not e^{x^2}/{2x}. In fact, it can't be integrated! Check your work here by differentiating.

The fact that the derivative of e^{x^2} is 2x e^{x^2} does not mean that the derivative of e^{x^2}/{2x} is e^{x^2}.

Instead, try taking u = x^{n-1} and dv = x e^{x^2} dx, which can be easily integrated.
 
Top