x^(n-2) *(1-x^2)(1 - x^2)^(1/2) = x^(n-2) *(1-x^2)] *[(1 - x^2)^(1/2)] = x^(n-2) *(1) *[(1 - x^2)^(1/2)] - x^(n-2) * (x^2) *[(1 - x^2)^(1/2)]I am unsure where X^n came from in the last step in the snap taken of the answer sheet.
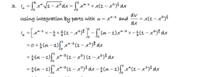
View attachment 17998View attachment 17999