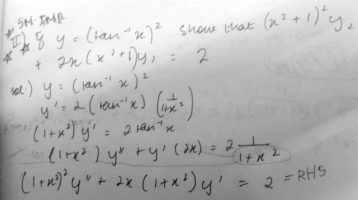
Here is a more readable image:The second last line...please help me understand it, why's there a y double dash all of a sudden

We were thaught to read it as 'y double dash', and not write it in the dy/dx form as the problem would look cluttered. While solving it my brain had completely forgotten that the product rule existed and that they just took the derivative twice as you said, looking at it now it's such a simple problem! Thank you for taking the time to answer!Here is a more readable image:
View attachment 37306
What you call "y double dash" is read "y double prime", and is the second derivative. It appears that derivatives are for some reason denoted as subscripts in the problem statement. Is that something you were taught?
They took the derivative twice, the second time as an implicit derivative after multiplying.
Interesting. Clearly you are in a different culture than mine; dialects vary a lot. To me, a dash is "-", and " ' ", in this context, is "prime".We were taught to read it as 'y double dash'