second order ordinary differential equation with derivative boundary condition -> analytical solution

jurgenroman

New member
Joined
Apr 28, 2020
Messages
2
Hi everyone,

I'm working on a course on numerical methods and need to find an analytical solution to a second order ordinary differential equation. My boundary conditions are that I know the actual value at 1 point and I know the derivative on another point. It's been a couple years since I have had a mathematics course and I tried looking online for a tutorial, but only found solutions where the 2 known values are both just of the form y(1) = 2. How would I go about tackling this problem?

My thanks in advance
 

Attachments

  • questionnumericalmethods.PNG
    questionnumericalmethods.PNG
    4.2 KB · Views: 1
I've found someone who found a smart solution to this. You just take the derivative of the general solution and set your boundary condition equal to that for your second equation to solve for the 2 constants in your general solution.
 
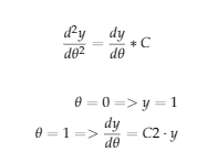
The differential equation is \(\displaystyle \frac{d^2y}{d\theta^2}= C\frac{dy}{d\theta}\). That is a "second order linear differential equation with constant coefficients" which is typically the very simplest kind of equation. It has "characteristic equation" \(\displaystyle r^2= cr\) which can be written \(\displaystyle r^2- cr= r(r- c)= 0\) and has "characteristic roots" r= 0 and r= c. That tells us that the general solution is \(\displaystyle y(\theta)= A+ Be^{2\theta}\).

Now, you have two "boundary conditions" you can use to determine A and B. The first is \(\displaystyle y(0)= A+ Be^0= A+ B= 1\). The second is \(\displaystyle \frac{dy}{d\theta}(1)= C2y(1)\). \(\displaystyle \frac{dy}{d\theta}= 2Be^{2\theta}\) so \(\displaystyle \frac{dy}{d\theta}(1)= 2Be^2= C2(A+ Be)\). Since A+ B= 1, A= 1- B and \(\displaystyle 2Be^2= C2(1- B+ Be)= C2+ BC2(e- 1)\). \(\displaystyle B(2e^2- C2e+ C2)= C2\) so \(\displaystyle B= \frac{C2}{2e^2- C2e+ C2}\).
 
Looking at this again, I have no idea where that "2" in "\(\displaystyle e^{2\theta}\)" came from!

The general solution is \(\displaystyle y= A+ Be^{C\theta}\).
Then \(\displaystyle \frac{dy}{dx}= BCe^{C\theta}\).
The boundary conditions are \(\displaystyle y(0)= A+ B= 1\) and \(\displaystyle y'(1)= BCe^C= 2\).

\(\displaystyle B= \frac{2}{C}e^{-C}\).
\(\displaystyle A= 1- B= 1- \frac{2}{C}e^{-C}\).
 
Top