Sigma Lh=Rh: We have Sigma notation k=3 to n; (2k-1)n....we have to prove this is equal to n^3-4n

urimagic

Junior Member
Joined
Mar 16, 2023
Messages
57
Hi everyone,

My first time here, I have read about how to use this board, I wanted to give a Sigma sum, but cannot figure out how to do it. Please forgive me for the way I'm going to give the problem, hopefully in time I will get to understand the basics of this board. I have 2 Sigma related sums which I am sure fall within the category of Advanced Math...

Here is the first, please assist me with this, I am a father trying to teach my child who now is grade 12. I also help other students from time to time.

We have Sigma notation k=3 to n; (2k-1)n....we have to prove this is equal to n^3-4n. I evaluated the Sigma side and got to 2n^2+3n...whether I'm on the right track, I do not know, however, I do not know how to proceed with this. Could someone please assist me with this?
 
Is this the problem statement?

Prove \(\displaystyle \sum_{k=3}^{n}(2k-1)n=n^3-4n\)
 
Last edited:
wanted to give a Sigma sum, but cannot figure out how to do it

Sigma notation k=3 to n; (2k-1)n … equal to n^3-4n
Hello. Your notation is fine. For future reference, there is a link in the forum guidelines to some pages that explain how to type math expressions using a keyboard.

Sigma[k=3,n] (2k – 1)n = n^3 – 4n

Sum[k=3…n] (2k – 1)n = n^3 – 4n

There is also a site link to math symbols for copy & paste. Additionally, some operating systems (like Windows) have a character map containing math symbols.

∑ [k=3,n] (2k – 1)n = n^3 – 4n ?
[imath]\;[/imath]
 
We have Sigma notation k=3 to n; (2k-1)n....we have to prove this is equal to n^3-4n. I evaluated the Sigma side and got to 2n^2+3n...whether I'm on the right track, I do not know, however, I do not know how to proceed with this. Could someone please assist me with this?
Please show us your actual work, so we can see where there might be an error, as well as what facts you are using. How to proceed depends on what you know.

For example, you would do different things if you are learning about proofs by induction, or about basic summation formulas.
 
Hello. Your notation is fine. For future reference, there is a link in the forum guidelines to some pages that explain how to type math expressions using a keyboard.

Sigma[k=3,n] (2k – 1)n = n^3 – 4n

Sum[k=3…n] (2k – 1)n = n^3 – 4n

There is also a site link to math symbols for copy & paste. Additionally, some operating systems (like Windows) have a character map containing math symbols.

∑ [k=3,n] (2k – 1)n = n^3 – 4n ?
[imath]\;[/imath]
Thank you very much..
Please show us your actual work, so we can see where there might be an error, as well as what facts you are using. How to proceed depends on what you know.

For example, you would do different things if you are learning about proofs by induction, or about basic summation formulas.
IMG20230317103716[1].jpg
Please show us your actual work, so we can see where there might be an error, as well as what facts you are using. How to proceed depends on what you know.

For example, you would do different things if you are learning about proofs by induction, or about basic summation formulas.
 
I'd divide both sides by n to begin with.
... or, equivalently, factor out the n from the summation, and find the sum of the sum without the n before multiplying by it. That's how I thought of it.

I suppose that isn't entirely necessary, since it is still an arithmetic series either way. But it's necessary to show that it is, and that's easier without the n.
 
We have Sigma notation k=3 to n; (2k-1)n....we have to prove this is equal to n^3-4n. I evaluated the Sigma side and got to 2n^2+3n...whether I'm on the right track, I do not know, however, I do not know how to proceed with this. Could someone please assist me with this?
I am extremely reluctant to jump in a thread in progress. That said, I agree with Prof. Peterson about your being confused by the notation. Let's agree that the problem is to prove that:
[imath]\left( {\sum\limits_{j = 3}^K {(2j + 1)} } \right)K = \left\{K^3 - 4K\right\}[/imath]
Now [imath]\left( {\sum\limits_{j = 3}^K {(2j + 1)} } \right)=K^2-4[/imath] is the sum of the first [imath]K-2[/imath] odd positive integers.
Note that [imath]\left( {\sum\limits_{j = 3}^K {(2j + 1)} } \right)K=(K^2-4)K=K^3-4K[/imath]
BTW. [I do not understand why the summation starts at three??]

[imath][/imath][imath][/imath][imath][/imath]
 
I am extremely reluctant to jump in a thread in progress. That said, I agree with Prof. Peterson about your being confused by the notation. Let's agree that the problem is to prove that:
[imath]\left( {\sum\limits_{j = 3}^K {(2j + 1)} } \right)K = \left\{K^3 - 4K\right\}[/imath]
Now [imath]\left( {\sum\limits_{j = 3}^K {(2j + 1)} } \right)=K^2-4[/imath] is the sum of the first [imath]K-2[/imath] odd positive integers.
Note that [imath]\left( {\sum\limits_{j = 3}^K {(2j + 1)} } \right)K=(K^2-4)K=K^3-4K[/imath]
BTW. [I do not understand why the summation starts at three??]

[imath][/imath][imath][/imath][imath][/imath]
Hello pka,

IMG_20230318_094112[1].jpgIMG20230318093802[1].jpg
 
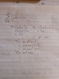
Do you understand that you can factor out the n and work first on the sum [imath]{\sum\limits_{k = 3}^n {(2k - 1)} }[/imath]? (Whatever you get for that, you will just multiply by n at the end.)

Do you see that this is an arithmetic series? What is the common difference? What is the formula for the sum?

If you just show us the formulas you have learned for sums, we can help you use them.
 
Please read & inwardly digest reply #13.
Here are the basic facts one needs to do this question #6.
[imath]\sum\limits_{j = 1}^N {\left( {2j - 1} \right)} = \underbrace {2\left( {\sum\limits_{j = 1}^N {\left( j \right)} } \right)}_1 - \underbrace {\left[ {\sum\limits_{j = 1}^N {\left( 1 \right)} } \right]}_2 = \underbrace {2\left( {\frac{{N(N + 1)}}{2}} \right)}_3 - \underbrace N_4 = \underbrace {~{N^2}~}_5[/imath]
One needs to understand how the sigma works. First go to expressions #1 & #2.
#3 comes from 1 (known as the Gauss sum) the sum of the first N positive integers.
#4 comes from one(1) added to its self N times in #2.
#5 comes from the numerical combination of #3 & #4.
 
Please read & inwardly digest reply #13.
Here are the basic facts one needs to do this question #6.
[imath]\sum\limits_{j = 1}^N {\left( {2j - 1} \right)} = \underbrace {2\left( {\sum\limits_{j = 1}^N {\left( j \right)} } \right)}_1 - \underbrace {\left[ {\sum\limits_{j = 1}^N {\left( 1 \right)} } \right]}_2 = \underbrace {2\left( {\frac{{N(N + 1)}}{2}} \right)}_3 - \underbrace N_4 = \underbrace {~{N^2}~}_5[/imath]
One needs to understand how the sigma works. First go to expressions #1 & #2.
#3 comes from 1 (known as the Gauss sum) the sum of the first N positive integers.
#4 comes from one(1) added to its self N times in #2.
#5 comes from the numerical combination of #3 & #4.
Thank you for your reply...I really guess this is one of those I must just let go...I do not understand why you start of with j=1, when the sum reflects j(k)=3?...This is just confusing....I think, let's let this one go, I really do appreciate what you have done up to this point..please forgive me for bailing out..
 
Thank you for your reply...I really guess this is one of those I must just let go...I do not understand why you start of with j=1, when the sum reflects j(k)=3?...This is just confusing....I think, let's let this one go, I really do appreciate what you have done up to this point..please forgive me for bailing out..
I believe @pka is just giving a different example in order to show you how you might think, if you know the facts he is using.

You haven't answered my questions about what you have learned, which are intended to help us to help you better. If you would just give us that information, you might not "need" to give up.
 
I believe @pka is just giving a different example in order to show you how you might think, if you know the facts he is using.

You haven't answered my questions about what you have learned, which are intended to help us to help you better. If you would just give us that information, you might not "need" to give up.
Ok, well, I re-looked the different example and really scrutinized it as best I could, but I honestly fail to see how the factorization works with Sigma. Nothing there I am able to comprehend. I have googled on topics about Sigma factorization, but also there failed to get something substantial...I have very basic knowledge of Sigma Notation..that is to say I am able to work out terms one through Term n, establish the type of sequence and calculate general questions. Other than that, I'm knocked out flat on my back.
 
Ok, well, I re-looked the different example and really scrutinized it as best I could, but I honestly fail to see how the factorization works with Sigma. Nothing there I am able to comprehend. I have googled on topics about Sigma factorization, but also there failed to get something substantial...I have very basic knowledge of Sigma Notation..that is to say I am able to work out terms one through Term n, establish the type of sequence and calculate general questions. Other than that, I'm knocked out flat on my back.
Study this link. You're welcome to ask more questions.
 
Study this link. You're welcome to ask more questions.
Hi BigBeachBanana,

I went through those lessons and actually got the questions right...I do understand all this so much better. I will now endeavor to tackle my sum. Will let you know what happens. Thank you very much for the help.
 
Top