Simplify cos(nθ + θ)

nasi112

Full Member
Joined
Aug 23, 2020
Messages
703
375.png

Hi to all and happy new year (2022).

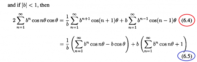
How to simplify 6.4 to get 6.5?
 
I'd want to see the context, in order to know if there is anything special about the variables that they might be using.
 
The author is trying to convert the solution \(\displaystyle u(r,\theta)\) for a disk of Laplace's Equation which is in terms of Fourier Series to Poisson Integral Formula which is expressed as integral.
 
Look at this Professor. It may help.

376.png


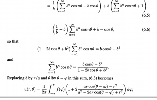
The author wants to get rid of \(\displaystyle \cos n(\theta - \varphi)\). So he did this:

377.png

But I cannot figure out how he jumped from 6.4 to 6.5!
 
Top