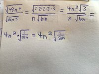
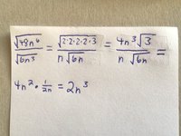
hello everyone, I’m having trouble with the. Equations circled in blue. Don’t know what I’m doing wrong.
for #6 as an example, I square the top and bottom and I get 4 over 6, which is 2/3 but I checked that on the calculator and it’s not correct
for #22, I simplify to get ([MATH]sqrt[/MATH]18) over 15 which becomes (3[MATH]sqrt[/MATH]2) over 15.
thank you
flo

for #6 as an example, I square the top and bottom and I get 4 over 6, which is 2/3 but I checked that on the calculator and it’s not correct
for #22, I simplify to get ([MATH]sqrt[/MATH]18) over 15 which becomes (3[MATH]sqrt[/MATH]2) over 15.
thank you
flo

