Solution to Differential equation with power series

Paul Heisenberg

New member
Joined
Jun 2, 2021
Messages
6
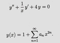
This exercise wants me to find the solution to this differential equation. Additionally they give me y(0)=1 and the requirement that y should be a even function. I should find the coefficients a1, a2, a3, a4, a5. I‘ve got my first few steps attached. The problem is that I do not understand where the 1 from the initial formula, which later should turn into a 4 (because of the distributive law), disappears. My guess is that, because they shift the index, the missing four is „kinda“ already included in the power series. The four marks there the beginning point, meaning a0 = 4. Is my guess correct, or what am I missing? Many thanks in advance.
 

Attachments

  • 952DEF45-C44A-4C54-8786-7FD6A1A99C63.jpeg
    952DEF45-C44A-4C54-8786-7FD6A1A99C63.jpeg
    56 KB · Views: 3
  • 383A9299-A6A8-4D7D-9BF8-ACC2F687E09A.jpeg
    383A9299-A6A8-4D7D-9BF8-ACC2F687E09A.jpeg
    999.7 KB · Views: 4
  • EE19AED4-B2BC-4267-9ADF-4C3A7E744244.jpeg
    EE19AED4-B2BC-4267-9ADF-4C3A7E744244.jpeg
    309.2 KB · Views: 4
That´s because [MATH]a_{0}=1[/MATH] so they do

[MATH]1 + \sum_{n=1}^{\infty }a_{n}x^{2n}=a_{0}+\sum_{n=1}^{\infty }a_{n}x^{2n}= \sum_{n=0}^{\infty }a_{n}x^{2n}[/MATH]
And then, to find [MATH]a_{1}[/MATH] the recurrence law gives, for [MATH]n=1[/MATH]
[MATH]4a_{1}+4a_{0}=0\Rightarrow 4a_{1}+4=0 \Rightarrow a_{1}=-1[/MATH]
 
Top