Please show us what you have tried and exactly where you are stuck.
I have not worked on this - but the starting point could be:
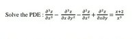
I'm not getting roots of this A.E equation.What will be the A.E and roots of A.E?Please show us what you have tried and exactly where you are stuck.
Please follow the rules of posting in this forum, as enunciated at:
Please share your work/thoughts about this problem.