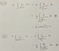
For some reason the result I get on some integrals like the one in the image is either double or half what it's supposed to be. For example on exercise 501 the result should be [MATH]2 sqrt(2) arctan ((x+3)/sqrt2)[/MATH] but I get double that.
I also added another one on top to show that I can do another one of these by applying the same method, the result on exercise 508 is correct. What am I doing wrong?
I also added another one on top to show that I can do another one of these by applying the same method, the result on exercise 508 is correct. What am I doing wrong?



