topsquark
Senior Member
- Joined
- Aug 27, 2012
- Messages
- 2,363
Steven G gave you that in the post just before yours. Post #17.i don't know how to do it with absolute.
-Dan
Steven G gave you that in the post just before yours. Post #17.i don't know how to do it with absolute.
I have to let the student think a little bit.This problem is a bit tricky because the intervals specified in defining the function are not sufficient to determine the question of the intervals that are strictly decreasing. We need the definition of strictly decreasing, namely
[math]\text {Given } a < b \text { and } a \le x \le b \implies f(x) \in \mathbb R,\\ f(x) \text { is strictly decreasing over } (a, \ b) \iff f(a) > f(x) > f(b).[/math]
This definition must be adjusted in obvious ways for partially or fully closed intervals.
Now the absolute value function is not everywhere differentiable. The derivative does not exist at 0. So let’s consider the interval [imath](- \infty , \ 0).[/imath]
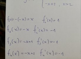
[math]f(x) = - |x|.\\ \text {But } - \infty < x < 0 \implies |x| = - x \implies f(x) = - (-x) = x \implies\\ f’(x) = 1, \ f(x) < 0, \text {and }\\ f(x) \text { is strictly increasing over } (- \infty, \ 0].[/math]
Now do the same for (0, 1). What is f(1)? Your conclusions?
How about (1, 2)? What is f(2)? How about if x > 2?
The function is not strictly decreasing on all the intervals you circled.
i don't know how.The function is not strictly decreasing on all the intervals you circled.
This can't be determined merely from derivatives (which apply only to open intervals, not at points of discontinuity).
I believe that the only efficient way to determine the answer is to draw a graph of the piecewise function. (Any other method will be equivalent.) You may use derivatives as part of this work, but the important thing is to look at the discontinuities. Please try doing this.
You don't know how to what? Graph the function??i don't know how.
When I did it how I would usually do it I was told it was not correct so no, I seem to not know how to do it.You don't know how to what? Graph the function??
-Dan
That's very close. But you show nothing between 2 and 3; and it isn't clear what's going on between 0 and 2. Also, I can't see any open circles, which will be important,View attachment 32512
This is the best I can do.
I know you can graph each function piece individually. Here’s a suggestion. Draw each piece as if there’s no restriction on its domain, then erase everything else leaving the interval behind. I’d recommend doing this with a pencil.View attachment 32512
This is the best I can do.
My best shot@Loki123,
I know you can graph each function piece individually. Here’s a suggestion. Draw each piece as if there’s no restriction on its domain, then erase everything else leaving the interval behind. I’d recommend doing this with a pencil.

But I don't get it. I didn't connect it to 2 because the domain for that line is x>2You're close enough that I'll make the needed corrections for you:
Note the open dots showing points the graph is approaching. (If you're taking calculus, this should be a familiar idea.) You just sort of let the line trail off.
It would be a better idea to make it on graph paper, or at least make the grid evenly spaced.
Now use this to answer the question.
My answer stil stays the same. I don't know what this Changes.You're close enough that I'll make the needed corrections for you:
Note the open dots showing points the graph is approaching. (If you're taking calculus, this should be a familiar idea.) You just sort of let the line trail off.
It would be a better idea to make it on graph paper, or at least make the grid evenly spaced.
Now use this to answer the question.
Please reread the link I gave you about how to graph piecewise functions. (Or study the topic in whatever textbook you have.) The open dot has a meaning. If that is not taught in your country, please show us an example of how you were taught to do this! (By which I mean an image of a graph from a textbook or other printed source, not just your attempt to copy it.)But I don't get it. I didn't connect it to 2 because the domain for that line is x>2
Please show your current answer, and explain it based on my correct graph (or your own, if you prefer). Then we can talk about whatever is wrong.My answer still stays the same. I don't know what this Changes.
I unfortunately do not have any material on this subject which is why I am so confused. I think I understand your graph better now that I thought about it, but my answer does not change.Please reread the link I gave you about how to graph piecewise functions. (Or study the topic in whatever textbook you have.) The open dot has a meaning. If that is not taught in your country, please show us an example of how you were taught to do this! (By which I mean an image of a graph from a textbook or other printed source, not just your attempt to copy it.)
Please show your current answer, and explain it based on my correct graph (or your own, if you prefer). Then we can talk about whatever is wrong.
Yes, these are correct.I unfortunately do not have any material on this subject which is why I am so confused. I think I understand your graph better now that I thought about it, but my answer does not change.
the first interval given [1/3,1/2) i think is strictly decreasing because it's a subset of [0,1) where the graph is strictly decreasing.
the second interval given [0,1) is i think strictly decreasing as i have mentioned.
the third interval given [0,1] is not strictly decreasing in my opinion because it includes 1, and we can see what the line that includes 1 is not continuing the previous line but is starting from the top again.
the fourth interval [2, +infinity) is the same as the third. 2 belongs to a different line than +infinity which is why i don't think we can include it in the same interval as strictly decreasing.
the fifth interval (2,+infinity) does not have the problem as the fourth which is why i think it's strictly decreasing.
the sixth set {1,2,3,4,5,} is not strictly decreasing in my opinion because if i were to erase lines and only leave these points they would not be decreasing necessarily as 2 and 3 would be on the same horizontal line.
the seventh set {-1,4,5,6} is in my opinion strictly decreasing because if I were to erase lines and only leave those points they would be decreasing.
i realised i skipped over an interval, so i am just going to add it now.
the eight interval [1,+infitiny] is in my opinion not strictly decreasing because it decreases until 2 and then starts again at 2.
that's it. i have thought about this a lot and i do not see any other possibility.
so then are my chosen intervals correct?Yes, these are correct.
Yes, when I say the answers and reasons are correct, that includes the answers.so then are my chosen intervals correct?
[1/3,1/2)
[0,1)
(2,+infinity)
{-1,4,5,6}