surface area question.

Sonal7

Full Member
Joined
Oct 4, 2019
Messages
485
Screenshot 2020-04-26 at 16.55.23.png

I think this question is best solved using the polar form of the equation for surface area.
I have the polar form of the cartesian equation. I have [MATH](rcos \theta +1/2a)^2 +(r^2sin^2\theta)=a^2[/MATH].
Now to use the formula I need [MATH]dr/d\theta[/MATH].

I am unsure who to get the derivative I need.
 
I am being silly here I think one could use either! either use x=rcos theta or y =rsin theta so long as the right version of the formula is used.
 
I would write:

[MATH]S=2\pi\int_0^{\frac{a}{2}}\sqrt{a^2-\left(x+\frac{a}{2}\right)^2}\sqrt{1+\frac{(a+2x)^2}{(a-2x)(3a+2x)}}\,dx[/MATH]
[MATH]S=2a\pi\int_0^{\frac{a}{2}}\sqrt{(a-2x)(3a+2x)}\sqrt{\frac{1}{(a-2x)(3a+2x)}}\,dx[/MATH]
[MATH]S=2a\pi\int_0^{\frac{a}{2}}\,dx=\pi a^2[/MATH]
 
MarkFl,
The circle has its center on the x-axis which we are revolving around. The surface area of a sphere, which is what we get when we revolve around the x-axis, is 4pi*r^2. In this problem r=a. So why is the surface area not 4pi*a^2?
 
MarkFl,
The circle has its center on the x-axis which we are revolving around. The surface area of a sphere, which is what we get when we revolve around the x-axis, is 4pi*r^2. In this problem r=a. So why is the surface area not 4pi*a^2?

We are only to consider that part of the sphere where \(0<x\). That is we are finding the curved surface of a spherical cap.
 
Oh! I did start off like this, but didnt carry it through as i thought it was looking too complicated. I thought circles were best done using polar equations. I didnt follow my initial plan.
 
Last edited:
MarkFl,
The circle has its center on the x-axis which we are revolving around. The surface area of a sphere, which is what we get when we revolve around the x-axis, is 4pi*r^2. In this problem r=a. So why is the surface area not 4pi*a^2?
Yes but we can just half the SA as its half of that. I dont even know what the graph looks like. I thought best to use the range [MATH]\theta=pi/2 [/MATH] and [MATH]\theta=0[/MATH]What that not make life easier? That might be why I thought changing to polar form might make life easier.

Yes but we need x>0 and we dont know what the graph looks like although we could figure it out.
 
Last edited:
I would write:

[MATH]S=2\pi\int_0^{\frac{a}{2}}\sqrt{a^2-\left(x+\frac{a}{2}\right)^2}\sqrt{1+\frac{(a+2x)^2}{(a-2x)(3a+2x)}}\,dx[/MATH]
[MATH]S=2a\pi\int_0^{\frac{a}{2}}\sqrt{(a-2x)(3a+2x)}\sqrt{\frac{1}{(a-2x)(3a+2x)}}\,dx[/MATH]
[MATH]S=2a\pi\int_0^{\frac{a}{2}}\,dx=\pi a^2[/MATH]
I get this method. Thank you very much. I had not thought of working out the new limits for the integral.
 
The curved surface area of a spherical cap is given by:

[MATH]S=2\pi Rh[/MATH]

Here, we have:

[MATH]R=a,\,h = \frac{a}{2}[/MATH]
Hence:

[MATH]S=2\pi(a)\left(\frac{a}{2}\right)=\pi a^2[/MATH]
 
The curved surface area of a spherical cap is given by:

[MATH]S=2\pi Rh[/MATH]

Here, we have:

[MATH]R=a,\,h = \frac{a}{2}[/MATH]
Hence:

[MATH]S=2\pi(a)\left(\frac{a}{2}\right)=\pi a^2[/MATH]
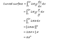
This is so much better. I got to the ans by cheating of course, you have to pass before you are shown the ans. I am copying in their ans, slightly different but also works.
 
In fact proving the formula has been a previous exam question. Thanks for the link
 
Top