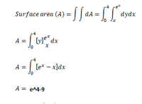
Surface-double integral

Top