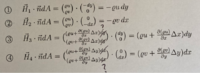
Hey!Can you please explain how you calculated them?
As in if any surface is given ,in 2D, how do I get the normal vector in (dy or dx),2D vector form.
For example if I have lets say a vector at an angle in the above image(unlike perpendicular to the surfaces). What would be the normal vector of that vector.