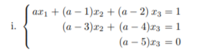
System of equation with a parameter

Randyyy

Junior Member
Joined
May 14, 2020
Messages
113
Hey, I need to solve the following system of equation. I started by looking at the last equation and notice that if a = 5, we are left with 0*x3 = 0 which is true for all x3, so that give us nothing. If I know then suppose a is not equal to 5, I can divide by (a-5) and try to solve this with elimination. Is this the correct approach or am I digging myself into a hole?
soeq.png
 
It is true that if a = 5, then x3 = 0. Moving on to the middle equation: If a = 5, then you have 2x2 + 0 = 1.

Turns out you have something after all.
 
I am not sure why we even teach the method of elimination. It is useless for systems of non-linear equations, and it can become a morass with more than two equations. This problem submits quickly with substitution.

As you saw, it is possible that a = 5 or a = 0. Those have to be solved on their own. But if a not equal to either 0 or 5, we get

[MATH](a - 5)x_3 = 0 \implies x_3 = 0.[/MATH]
[MATH](a - 3)x_2 = 1 \implies a \ne 3 \text { and } x_2 = \dfrac{1}{a - 3}.[/MATH]
[MATH]ax_1 + (a - 1) \cdot \dfrac{1}{a - 3} = 1 \implies ax_1 = \dfrac{a - 3 - a + 1}{a - 3} = - \dfrac{2}{a - 3} \implies x_1 = - \dfrac{2}{a(a - 3)}.[/MATH]
 
It is true that if a = 5, then x3 = 0. Moving on to the middle equation: If a = 5, then you have 2x2 + 0 = 1.

Turns out you have something after all.
if a = 5 don't we get that the third equation yields [MATH](5-5)x_3=0[/MATH] so how can we conclude [MATH]x_3 = 0[/MATH]?

I am not sure why we even teach the method of elimination. It is useless for systems of non-linear equations, and it can become a morass with more than two equations. This problem submits quickly with substitution.

As you saw, it is possible that a = 5 or a = 0. Those have to be solved on their own. But if a not equal to either 0 or 5, we get

[MATH](a - 5)x_3 = 0 \implies x_3 = 0.[/MATH]
[MATH](a - 3)x_2 = 1 \implies a \ne 3 \text { and } x_2 = \dfrac{1}{a - 3}.[/MATH]
[MATH]ax_1 + (a - 1) \cdot \dfrac{1}{a - 3} = 1 \implies ax_1 = \dfrac{a - 3 - a + 1}{a - 3} = - \dfrac{2}{a - 3} \implies x_1 = - \dfrac{2}{a(a - 3)}.[/MATH]
Is a = 0 a problem because of the first equation where we have [MATH]ax_1[/MATH]?I know that you can use the determinant and check for values of a that makes the determinant 0 but unfortunately we have only gone over Gauss elimination which I find not too helpful honestly when dealing with these problems granted this is the first problem I have encountered with a parameter.
 
if a = 5 don't we get that the third equation yields [MATH](5-5)x_3=0[/MATH] so how can we conclude [MATH]x_3 = 0[/MATH]?
You did not notice that I said that is a = 5 or a = 1, we must deal with those as special cases. Then I said "if a is not equal to either 0 or 5."

Now if a does not equal 5, then a - 5 does not equal 0, right? So if (a - 5) * x_3 = 0, x_3 must equal zero. Zero product property, remember?

Is a = 0 a problem because of the first equation where we have [MATH]ax_1[/MATH]?I know that you can use the determinant and check for values of a that makes the determinant 0 but unfortunately we have only gone over Gauss elimination which I find not too helpful honestly when dealing with these problems granted this is the first problem I have encountered with a parameter.
Couple of points. If a = 0, we have three equations in two unknowns. Such a system is overdetermined, which means that it cannot be solved unless one of the equations is not independent. Even if one equation essentially duplicates a second, the third may be inconsistent, which also means that the system cannot be solved. So a = 0 MAY LEAD TO AN INSOLUBLE SYSTEM. It may not. You need to test how it works out in each particular case of overdetermined systems.

Gaussian elimination is probably not efficient for solving any system of three linear equations. But it is great for solving a system of three hundred linear equations. They teach it based on examples that could be solved more easily by other methods because if they gave you realistic examples, working them out would take forever.

EDIT: As a purely mechanical process, Gaussian elimination is particularly suitable for use by computers. So it is particularly pertinent to understand the process in our computerized era.
 
Last edited:
It is true that if a = 5, then x3 = 0. Moving on to the middle equation: If a = 5, then you have 2x2 + 0 = 1.

Turns out you have something after all.
If a product equals 0, then only one factor has to be 0. If a-5 = 0, then if (a-5)x3=0 it is the case where x3 can be any number at all.
 
Hey, I need to solve the following system of equation. I started by looking at the last equation and notice that if a = 5, we are left with 0*x3 = 0 which is true for all x3, so that give us nothing. If I know then suppose a is not equal to 5, I can divide by (a-5) and try to solve this with elimination. Is this the correct approach or am I digging myself into a hole?
View attachment 24456
Why are you excluding the case where a=5. If a=5 then x3 can be any value and this is fine!
So to start off with you have two cases!
Case 1: a = 5 and case 2: a is not 5. Now continue separately with each case. Give this a try!
 
if a = 5:

(1) = [MATH]5x_1+4x_2+3x_3=1[/MATH](2) = [MATH]2x_2+x_3=1[/MATH](3) = [MATH]0*x_3=0[/MATH] which is true [MATH]\forall x_3 \in \mathbb{R} [/MATH]
from (2) we can extract [MATH]x_3[/MATH] hence [MATH]x_3[/MATH] is nothing but [MATH]x_3=1-2x_2[/MATH].
substitute [MATH]x_3[/MATH] into (1) and solve for [MATH]x_1[/MATH], this yields: [MATH]x_1=1-4x_2-(1-2x_2)=\frac{2}{5}(x_2-1)[/MATH]
if [MATH]a \neq 5[/MATH](3) yields that [MATH]x_3=0[/MATH] hence:
(1) = [MATH]5x_1+4x_2+3x_3=1[/MATH](2) = [MATH]2x_2+x_3=1[/MATH]and following the same method as JeffM displayed above we can solve for [MATH]x_1[/MATH] and [MATH]x_2[/MATH] quite easily because (2) gives us [MATH]x_2[/MATH] instantly and then it is all a matter of plugging [MATH]x_2[/MATH] into (1) and we are done.

Suppose a = 0:
(3) just like before instantly yields that [MATH]x_3[/MATH] must be 0. (1) we get that [MATH]-x_2-2x_3=0[/MATH] but [MATH]x_3 = 0 \iff (1) = -x_2=1[/MATH] and [MATH](2)= -3x_2=1[/MATH] but this is clearly not true. Hence a = 0 is not a solution.

If a = 5, [MATH]x_2[/MATH]=t, then the solutions are given as: [MATH](x_1, x_2, x_3)[/MATH] = ([MATH]\frac{2}{5}(t-1)[/MATH], t, [MATH]1-2t)[/MATH]
If [MATH]a \neq 5[/MATH] then the solutions are given as: [MATH](x_1 ,x_2 ,x_3)[/MATH] = ([MATH]- \frac{2}{(a-3)a}[/MATH], [MATH]\frac{1}{a-3}[/MATH], 0)


Is this how I am supposed to answer the question / solve it or is there something lacking in my answer?
 
[math]x_1=1-4x_2-(1-2x_2)=\frac{2}{5}(x_2-1)[/math]That line above has so many mistakes!

1st of all, why did you not divide 1-4x2 - (1 - 2x2) by 5. Given that you did not divide it my 5 how can it equal [math]\frac{2}{5}(x_2-1)[/math]?
How did you get 1-1 = 2? How about -4 - (-2) = 2?

Fix all those errors, post back and we'll see if you are correct.
 
if [MATH]a \neq 5[/MATH](3) yields that [MATH]x_3=0[/MATH] hence:
(1) = [MATH]5x_1+4x_2+3x_3=1[/MATH]<---Not correct (unless a=5!)
(2) = [MATH]2x_2+x_3=1[/MATH]<---Not correct (unless a=5!)
and following the same method as JeffM displayed above we can solve for [MATH]x_1[/MATH] and [MATH]x_2[/MATH] quite easily because (2) gives us [MATH]x_2[/MATH] instantly and then it is all a matter of plugging [MATH]x_2[/MATH] into (1) and we are done.

Suppose a = 0:
(3) just like before instantly yields that [MATH]x_3[/MATH] must be 0. (1) we get that [MATH]-x_2-2x_3=0[/MATH] but [MATH]x_3 = 0 \iff (1) = -x_2=1[/MATH] and [MATH](2)= -3x_2=1[/MATH] but this is clearly not true. Hence a = 0 is not a solution.

If a = 5, [MATH]x_2[/MATH]=t, then the solutions are given as: [MATH](x_1, x_2, x_3)[/MATH] = ([MATH]\frac{2}{5}(t-1)[/MATH], t, [MATH]1-2t)[/MATH]
If [MATH]a \neq 5[/MATH] then the solutions are given as: [MATH](x_1 ,x_2 ,x_3)[/MATH] = ([MATH]- \frac{2}{(a-3)a}[/MATH], [MATH]\frac{1}{a-3}[/MATH], 0)


Is this how I am supposed to answer the question / solve it or is there something lacking in my answer?
See the red comments above. You can't have that a is 5 and is not 5 at the same time and think that your answer will turn out correct. Remember what case you are working on. This case is where a is NOT 5, so don't replace a with 5. OK??
 
Yes, x1 was indeed riddled with errors and I let a = 5 and not be 5 at the same time which makes no sense. Here are the corrections to the errors.

We should get that [MATH]5x_1=1-4x_2-3(1-2x_2) \iff x_1=\frac{2}{5}x_2-\frac{2}{5}[/MATH] and we can factor this: [MATH]x_1=\frac{2}{5}(x_2-1)[/MATH]
Where you wrote the red comments it should then instead be written as:

If [MATH]a \neq 5[/MATH]
(1)=[MATH]ax_1+(a-1)x_2=1[/MATH] (I already plugged in [MATH]x_3=0[/MATH])
(2)=[MATH](a-3)x_2=1[/MATH] (I already plugged in [MATH]x_3=0[/MATH])
(3)=[MATH](a-5)x_3=0 \iff x_3=0[/MATH]
 
Yes, x1 was indeed riddled with errors and I let a = 5 and not be 5 at the same time which makes no sense. Here are the corrections to the errors.

We should get that [MATH]5x_1=1-4x_2-[COLOR=rgb(184, 49, 47)]3[/COLOR](1-2x_2) \iff x_1=\frac{2}{5}x_2-\frac{2}{5}[/MATH] and we can factor this: [MATH]x_1=\frac{2}{5}(x_2-1)[/MATH]
Where you wrote the red comments it should then instead be written as:

If [MATH]a \neq 5[/MATH]
(1)=[MATH]ax_1+(a-1)x_2=1[/MATH] (I already plugged in [MATH]x_3=0[/MATH])
(2)=[MATH](a-3)x_2=1[/MATH] (I already plugged in [MATH]x_3=0[/MATH])
(3)=[MATH](a-5)x_3=0 \iff x_3=0[/MATH]
Yes, I forgot that I noticed that you did not put that 3 (in red above) into your last post. Your work seems better so please continue. This is a nice problem to work on to get one to think clearly. You can do it!
 
You will now have subcases! a= 3 or a not 3. Then subcases for subcases. Keep the books balanced very carefully.
 
I have not been following you and jomo's dialogue closely, but, although it looks a bit pedantic, I like to label cases explicitly.

Case II-B-1 etc
 
Is it not so that I can conclude that x=3 is not a solution because if [MATH]a \neq 5[/MATH] then [MATH]x_2[/MATH] demands that [MATH]a \neq {0,3}[/MATH] and [MATH]x_3[/MATH] demands that [MATH]a \neq 3[/MATH].

But just for practice sake because maybe I hadn´t gone that route and tried a=3 first.

If a = 3 then:
(1) = [MATH]3x_1+2x_2+x_3=1[/MATH](2) = [MATH]-x_3=1[/MATH](3) = [MATH]-2x_3=0[/MATH]
Again, we can see this is clearly not true because (1) and (2) contradicts one another. if a is not 3 then we get the same case as when a was not 5.

for a = 2 and a = 1 and a = any real number EXCEPT {0,3,5} it will yield the same case as [MATH]a \neq 5[/MATH].

In essence, if [MATH]a \in \mathbb{R} \land a \neq {0,3,5} [/MATH] the solutions given are:
[MATH]x_1=-\dfrac{2}{a(a-3)}[/MATH][MATH]x_2=\dfrac{1}{a-3}[/MATH][MATH]x_3=0[/MATH]
If [MATH]a = {0,3}[/MATH] then there exists no solution to the system.

If [MATH]a = 5[/MATH] then the solutions are given as:
[MATH]x_1=\frac{2}{5}(t-1)[/MATH][MATH]x_2=t[/MATH][MATH]x_3=1-2t[/MATH]Note that [MATH]x_2=t[/MATH]because it is a free variable.
 
Is it not so that I can conclude that x=3 is not a solution because if [MATH]a \neq 5[/MATH] then [MATH]x_2[/MATH] demands that [MATH]a \neq {0,3}[/MATH] and [MATH]x_3[/MATH] demands that [MATH]a \neq 3[/MATH].

But just for practice sake because maybe I hadn´t gone that route and tried a=3 first.

If a = 3 then:
(1) = [MATH]3x_1+2x_2+x_3=1[/MATH](2) = [MATH]-x_3=1[/MATH](3) = [MATH]-2x_3=0[/MATH]
Again, we can see this is clearly not true because (1) and (2) contradicts one another. if a is not 3 then we get the same case as when a was not 5.

for a = 2 and a = 1 and a = any real number EXCEPT {0,3,5} it will yield the same case as [MATH]a \neq 5[/MATH].

In essence, if [MATH]a \in \mathbb{R} \land a \neq {0,3,5} [/MATH] the solutions given are:
[MATH]x_1=-\dfrac{2}{a(a-3)}[/MATH][MATH]x_2=\dfrac{1}{a-3}[/MATH][MATH]x_3=0[/MATH]
If [MATH]a = {0,3}[/MATH] then there exists no solution to the system.

If [MATH]a = 5[/MATH] then the solutions are given as:
[MATH]x_1=\frac{2}{5}(t-1)[/MATH][MATH]x_2=t[/MATH][MATH]x_3=1-2t[/MATH]Note that [MATH]x_2=t[/MATH]because it is a free variable.
Before I read what you wrote above you have to state the case you are working on. So far we have case1 and case 2 (however I do not remember which one is which and I am not going to hunt down that information in a problem with this many cases--so please state the case clearly)
 
Now I am getting mixed up.

[MATH]\text {Case I: } a = 5.[/MATH]
I left that for the OP

[MATH]\text {Case II: } a \ne 5.[/MATH]
[MATH]\therefore (a - 5)x_3 = 0 \implies x_3 = 0.[/MATH]
[MATH]\text {By hypothesis, } (a - 3)x_2 + (a - 4)x_3 = 1 \implies (a - 3)x_2 = 1 \implies\\ a \ne 3, \text { and } x_2 = \dfrac{1}{a - 3} \ne 0.[/MATH][MATH]\text {By hypothesis, } ax_1 + (a - 1)x_2 + (a - 2)x_3 = 1 \implies \\ ax_1 + (a - 1)x_2 = 1 \implies ax_1 + (a - 1) \cdot \dfrac{1}{a - 3} \implies \\ ax_1 = 1 - \dfrac{a - 1}{a - 3} = - \dfrac{2}{a - 3}.[/MATH]
[MATH]\text {Case II-A: } a \ne 0 \implies x_1 = - \dfrac{2}{a(a - 3)}.[/MATH]
I left Case II-B (a = 0) for the OP.

Did I screw up somewhere?
 
Solve the following system of equation for the parameter a.
(1) = [MATH]ax_1+(a-1)x_2+(a-2)x_3=1[/MATH](2) = [MATH](a-3)x_2+(a-4)x_3=1[/MATH](3) = [MATH](a-5)x_3=0[/MATH]
Case I:
If [MATH]a = 5[/MATH]:

(1) = [MATH]5x_1+4x_2+3x_3[/MATH](2) = [MATH]x_3+2x_2=1[/MATH](3) = [MATH]0 \cdot x_3=0[/MATH] which is true [MATH]\forall x_3 \in \mathbb{R} [/MATH]
(2) gives that [MATH]x_3=1-2x_2[/MATH]plug into (1) and we get that [MATH]x_1=\frac{1-4x_2-3(1-2x_2)}{5}=\frac{2}{5}(x_2-1)[/MATH][MATH]x_2=t[/MATH] gives:
[MATH](x_1, x_2, x_3) = (\frac{2}{5}(t-1), t, 1-2t)[/MATH]
Case II:
If [MATH]a \neq 5[/MATH]:
(1) = [MATH]ax_1+2x_2+x_3=1 \iff ax_1+(a-1)\frac{1}{a-3} = 1 \iff x_1 = - \frac{2}{a(a-3)}[/MATH](2) = [MATH](a-3)x_2+(a-4)x_3=1 \iff x_3=\frac{1}{a-3}[/MATH](3) = [MATH](a-5)x_3=0 \iff x_3=0[/MATH]
[MATH](x_1, x_2, x_3) = (- \frac{2}{a(a-3)}, \frac{1}{a-3}, 0)[/MATH]
Case III
If [MATH]a = 3 [/MATH]:

[MATH](1)=3x_1+2x_2+x_3=1[/MATH][MATH](2)=-x_3=1[/MATH][MATH]-2x_3=0[/MATH]which is clearly falls because (2) and (3) contradicts one another.

Case IIII
If [MATH]a = 0 [/MATH]:
[MATH](1)=-x_2-2x_3=1 \iff -x_2=1[/MATH][MATH](2)=-3x_2-4x_3=1 \iff -3x_2=1[/MATH][MATH]-5x_3=0 \iff x_3=0[/MATH]which is clearly falls because (1) and (2) contradicts one another.

Answer

[MATH]a = 0,3[/MATH] yields no solution for a which can be noted from the solutions of Case II which demands [MATH]a \neq {0,3}[/MATH] and of course from Case III and Case IIII.

Solution I
[MATH]a \in \mathbb{R} \land a \neq {0,3,5}[/MATH] Solutions are given by Case II: [MATH](x_1, x_2, x_3) = (- \frac{2}{a(a-3)}, \frac{1}{a-3}, 0)[/MATH]
Solution II
If [MATH]a = 5[/MATH] then the solutions are given by Case I: [MATH](x_1, x_2, x_3) = (\frac{2}{5}(t-1), t, 1-2t)[/MATH]
 
Top