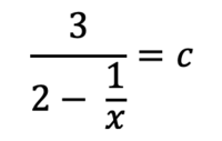
Hi, everyone. I was given the following equation and asked to find all values of c such that the equation has no solutions for x.

I worked through the following steps

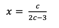
The book I'm using now says to take the reciprocal of both sides to get (this is the step I don't understand):

and then multiply both sides by c to get:

The part I don't understand is why take the reciprocal? Can anyone point me to a theorem or methodology or resource online that explains this approach/step in more detail?
Thanks in advance

I worked through the following steps
The book I'm using now says to take the reciprocal of both sides to get (this is the step I don't understand):

and then multiply both sides by c to get:

The part I don't understand is why take the reciprocal? Can anyone point me to a theorem or methodology or resource online that explains this approach/step in more detail?
Thanks in advance