This question might be more about elementary number theory than Markov Chains.
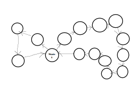
A definition of the period of a state in a Markov Chain given here is the smallest number such that all paths leading from that state back to itself have a length that is a multiple of that number. More typically I see a definition such as the Greatest Common Divisor of the lengths of all paths leading from that state back to itself. I am struggling to harmonize these in light of the fact that one is a maximization problem and the other a minimization problem. Suppose we have...

The smallest number such that all paths leading from State i back to itself have a length that is a multiple of that number seems to be [imath]2[/imath] ([imath]1[/imath] is not a valid period), but the GCD of the lengths of all paths leading from State i back to itself seems to be [imath]4[/imath].
Is there a typo in the definition from the video, or is there some duality by which this can be viewed both as a maximization problem and as a minimization problem?
A definition of the period of a state in a Markov Chain given here is the smallest number such that all paths leading from that state back to itself have a length that is a multiple of that number. More typically I see a definition such as the Greatest Common Divisor of the lengths of all paths leading from that state back to itself. I am struggling to harmonize these in light of the fact that one is a maximization problem and the other a minimization problem. Suppose we have...

The smallest number such that all paths leading from State i back to itself have a length that is a multiple of that number seems to be [imath]2[/imath] ([imath]1[/imath] is not a valid period), but the GCD of the lengths of all paths leading from State i back to itself seems to be [imath]4[/imath].
Is there a typo in the definition from the video, or is there some duality by which this can be viewed both as a maximization problem and as a minimization problem?
