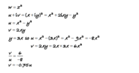
S Sonal7 Full Member Joined Oct 4, 2019 Messages 485 Apr 29, 2020 #1 I am unsure how to do part 3. I have tried by doing the following: [MATH]u+vi=3(x^2+xyi-y^2)[/MATH][MATH]u+vi=3(x^2-y^2)+3xyi[/MATH]Now i cant figure out how to equate the x and y terms. It looks messy
I am unsure how to do part 3. I have tried by doing the following: [MATH]u+vi=3(x^2+xyi-y^2)[/MATH][MATH]u+vi=3(x^2-y^2)+3xyi[/MATH]Now i cant figure out how to equate the x and y terms. It looks messy
R Romsek Senior Member Joined Nov 16, 2013 Messages 1,361 Apr 29, 2020 #2 [MATH]u + i v = 3(x^2 + 2 i x y - y^2)[/MATH] you left out a factor of 2 on the \(\displaystyle xy\) term
[MATH]u + i v = 3(x^2 + 2 i x y - y^2)[/MATH] you left out a factor of 2 on the \(\displaystyle xy\) term
S Sonal7 Full Member Joined Oct 4, 2019 Messages 485 Apr 30, 2020 #4 I think it was a question of sub in the value for y and then taking the ration of the v/u
topsquark Senior Member Joined Aug 27, 2012 Messages 2,363 Apr 30, 2020 #5 Sonal7 said: I think it was a question of sub in the value for y and then taking the ration of the v/u Click to expand... Yup. But make sure you do the correction that Romsek mentioned. v = 6xy. -Dan
Sonal7 said: I think it was a question of sub in the value for y and then taking the ration of the v/u Click to expand... Yup. But make sure you do the correction that Romsek mentioned. v = 6xy. -Dan
S Sonal7 Full Member Joined Oct 4, 2019 Messages 485 Apr 30, 2020 #6 Yes that was a silly error. But yes wont have got the right ans without it.