YesThat's an integral over x, I presume?
-Dan
The function is a relation - I'm trying to find the length of the curve of this function:Why is there a 2y in the denominator? You have 3 variables k,x,y and 1 equation. Please post the full original question.

Take the square root?This can be implicitly differentiated in order to substitute into the formula for the length of an arc, but I can't do the integration.
Take the positive only.y is greater than or equal to zero
The integrand must be a function of x; implicit differentiation doesn't initially produce that, because you still have y in the derivative. You need to replace y with its expression in terms of x (BBB's radical) before integrating. (Assuming the rest of your work is correct, which I haven't looked at.)The function is a relation - I'm trying to find the length of the curve of this function:
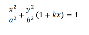
View attachment 30672
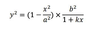
Where a is 2.95 and b is 2. I need the length of the curve between -2.95 and 2.95, given y is greater than or equal to zero.This can be rearranged as: View attachment 30673
This can be implicitly differentiated in order to substitute into the formula for the length of an arc, but I can't do the integration.
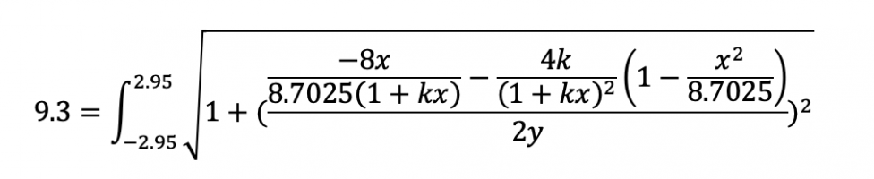
I doubt even WolframAlpha can. You won't get any further until you show us the exact original question.ok, so I've done that. Can anyone integrate this with respect to x in order to find k?
View attachment 30688