Here is the bottle i chose and plotted into the graph:

I used Desmos to plot this graph, here is the link in case you need a better picture https://www.desmos.com/calculator/ayeq3zjf4j
As you can see, i only know how to plot the red and blue lines, because its straight. However, i dont know what function to use for the rest of the bottle. I considered using y=1/x or y=-1/x, but i dont know if this would work with the formula im going to use
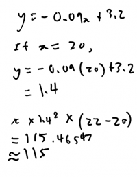
Based on a YouTube video i found, to find the volume i should use the formula bellow:

From what im guessing, the formula above is basically {pi r^2 times legth}, but the r and length is replaced with integration, which then leads me to conclude that integration is finding the area. This then leads to my next question, if the bottle have different shape, what should i do? (For example a rectangle bottle or a weird shape like a ketchup bottle)

I used Desmos to plot this graph, here is the link in case you need a better picture https://www.desmos.com/calculator/ayeq3zjf4j
As you can see, i only know how to plot the red and blue lines, because its straight. However, i dont know what function to use for the rest of the bottle. I considered using y=1/x or y=-1/x, but i dont know if this would work with the formula im going to use
Based on a YouTube video i found, to find the volume i should use the formula bellow:

From what im guessing, the formula above is basically {pi r^2 times legth}, but the r and length is replaced with integration, which then leads me to conclude that integration is finding the area. This then leads to my next question, if the bottle have different shape, what should i do? (For example a rectangle bottle or a weird shape like a ketchup bottle)

