
MY WORKING:

Why I am confused: (2 things, both shown by a yellow line)
1) At the first yellow highlighted area, a 2a is included in working out AP and OP in the mark scheme, specifically the 2a is meant to be after 5by-2ay
This was my thinking (I did not include this 2a in my working, but it was added after because the mark scheme had it in):
Why is 2a in the mark scheme?
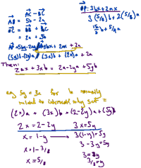
AP = y(AB)
AB = 5b-2a
AP = 5by - 2ay
OP = x(OC)
OC = 3b+2a
(This would all work the other way, right? If I chose to do OC = 5b+2a instead?)
OP = 3bx+2ax
2) Normally in vector questions we would find AP and OP then set their factors equal immediately, but in this example we set the actual equations as equal:
AP = 5by - 2ay
OP = 3bx + 2ax
5by-2ay(+2a in the ms) = 3bx+2ax
Do we do this because there is a point of intersection? I don't actually understand what setting them equal *means* compared to when we just say
(5y)b + (2-2y)a
(3x)b + (2x)a
5y=3x and 2-2y=2x
Without the 2a also we would never get 2-2y=2x so the answers would change
Thank you
