Yes, this is very ordinary stuff:Yo guys,
Dont tell me you guys see this horror very often.
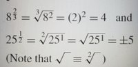
I see a bad mistake in the above \(\large\color{red}\sqrt{25}\ne\pm 5\): c it should be \(\large\color{blue}\sqrt{25}= 5\).
Right. So you're telling me i should totally erase from my memory whats on the picture.I see a bad mistake in the above \(\large\color{red}\sqrt{25}\ne\pm 5\): c it should be \(\large\color{blue}\sqrt{25}= 5\).
There are two square roots of \(25\) and they are \(\pm 5=\pm\sqrt{25}\)
Maybe not erase it all, but put an asterisk on it. There are times when one might choose to treat the square root as double-valued, and many cases where you have to keep in mind that there are two roots. For example, in solving an equation, if you raise both sides to the 3/4 power, you need to realize that that is an even root, so you will need to include [MATH]\pm[/MATH] before the radical in your result. So, don't entirely forget that, but don't write what they wrote unless it has been explicitly stated for some reason that you can. (And I can't think of a specific instance where you would!)Right. So you're telling me i should totally erase from my memory whats on the picture.
Basic engineering mathematics by john bird. Chapter 7.Maybe not erase it all, but put an asterisk on it. There are times when one might choose to treat the square root as double-valued, and many cases where you have to keep in mind that there are two roots. For example, in solving an equation, if you raise both sides to the 3/4 power, you need to realize that that is an even root, so you will need to include [MATH]\pm[/MATH] before the radical in your result. So, don't entirely forget that, but don't write what they wrote unless it has been explicitly stated for some reason that you can. (And I can't think of a specific instance where you would!)
The big question now it, what is your source? I'd like to see whether their context justifies what they are saying in some way, or whether they are just wrong.
I found an older edition of the book online (probably illegally); there, the bit you quoted is in section 3.1, soon after introducing the square root this way:Basic engineering mathematics by john bird. Chapter 7.
Theres no context he's saying its that way and it must be applied that way.
And since Ive seen the 3rd volume of his trilogy laplace transforms and stuff, i dont wanna contradict the guy.

You re definitely a purist. But yea that makes sense. The guy didnt consider that small detail at all.I should add that your image doesn't accurately express what they are doing.
You can write [MATH]8^{\frac{2}{3}}[/MATH] either as [MATH]\sqrt[3]{8^2}[/MATH] as they did, or as [MATH]\sqrt[3]{8}^2[/MATH]; it is the latter, not the former, that naturally leads to [MATH]2^2 = 4[/MATH]. What they wrote is really [MATH]\sqrt[3]{64} = 4[/MATH].
Generally, if the base is a perfect power, you should put the exponent on the outside to keep numbers small, while if all you can do is to simplify, the other way may work better.
Ok ill be careful about that minus plus thing. Thanks for taking the time to look into the book. Im doing one chapter per day dyou think once im done with it ill be ready for linear algebra and the maths needed for machine learning or will i have to dig deaper into the 2nd volume ?I found an older edition of the book online (probably illegally); there, the bit you quoted is in section 3.1, soon after introducing the square root this way:
View attachment 21047
It's clear he's coming at this as an engineer, not a mathematician, and therefore isn't terribly careful about details. It's somewhat forgivable (yes, I'm far too lenient) in this context, but if he ever goes on to do any serious work with functions, something will go wrong. When we write a particular symbol, it has to have only one meaning, or we will get ourselves into trouble.
The right way to say it is that when you take a square root in the course of solving an equation, you have to write it like this: The square roots of 4 are [MATH]\pm\sqrt{4} = \pm 2[/MATH].