allegansveritatem
Full Member
- Joined
- Jan 10, 2018
- Messages
- 962
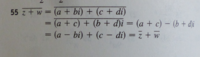
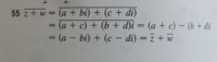
I came across this today in some problems at the end of a section and can find no reference to it in the text:
What I don't understand is the symbols over the z+w and over the z and the w. What are they asking for here? Here is the solution the book gives but I can't figure out where they got any of this from:

What I don't understand is the symbols over the z+w and over the z and the w. What are they asking for here? Here is the solution the book gives but I can't figure out where they got any of this from:


