What is this theorem called/how to prove it?

I have no idea what it is called.

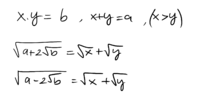
The proof is obvious although you did not state the theorem correctly.

[MATH]\text {Let } z = \sqrt{x} + \sqrt{y} \implies z^2 = x + 2\sqrt{x} * \sqrt{y} + y \implies[/MATH]
[MATH]z^2 = x + y + 2 \sqrt{xy} = a + 2\sqrt{b} \implies z = \pm \sqrt{a + 2\sqrt{b}} \implies[/MATH]
[MATH]\sqrt{x} + \sqrt{y} = \sqrt{a + 2\sqrt{b}} \ \because \ \sqrt{x} + \sqrt{y} \ge 0.[/MATH]
 
Top