niyazikeklk
New member
- Joined
- Sep 15, 2020
- Messages
- 1
Please use "English" for communication at this forum.
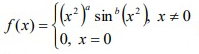
Prof, what you stated above via a-c only shows that the limit at x=a exists. To show continuity at x= a I am sure that you know that you also need to have d) \(\displaystyle \lim_{x\to a} f(x)= f(a)\)A function, f(x), is continuous at x= a if and only if
a) \(\displaystyle \lim_{x\to a^+} f(x)\) exists
b) \(\displaystyle \lim_{x\to a^-} f(x)\) exists
c) \(\displaystyle \lim_{x\to a^+} f(x)= \lim_{x\to a^-} f(x)\).
So what are \(\displaystyle \lim_{x\to a^+} f(x)= \lim_{x\to 0} 0\) and \(\displaystyle \lim_{x\to a^-} f(x)= \lim_{x\to 0} (x^2)^a sin^b(x^2)\)?
(It helps to know that \(\displaystyle \lim_{x\to 0}\frac{sin(x)}{x}= 1\).)
Yes, the last line should have beenProf, what you stated above via a-c only shows that the limit at x=a exists. To show continuity at x= a I am sure that you know that you also need to have d) \(\displaystyle \lim_{x\to a} f(x)= f(a)\)