I didn't know how to even try to solve this, so there won't be any attempt pictures this time. This is how the solution has it solved... Why x<2 and x>2???
This is all they say? They must expect you to read their minds. They should at least have started by saying
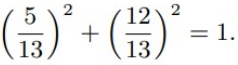
My guess is that they expect you to recognize that {5, 12, 13} is a Pythagorean triple, so that the equation is true for x = 2. The work here is showing that that solution is unique, because if n were greater or less than 2, it couldn't be true.
Out of curiosity, what does "i" mean in your language?
This site uses cookies to help personalise content, tailor your experience and to keep you logged in if you register.
By continuing to use this site, you are consenting to our use of cookies.