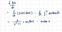
Is it f’(x)=arctanx+X/(x^2+1)-arctanx?You want to use the derivative form of the fundamental theorem of calculus to compute the derivative of the integral.![]()
Why do you have two variables (x & X)?Is it f’(x)=arctanx+X/(x^2+1)-arctanx?
sorry,just a typoWhy do you have two variables (x & X)?
What you wrote is equivalent to f’(x)=X/(x^2+1)? - is that what you wanted to write?
What theorem did you use to derive that? - Write it explicitly.sorry,just a typo
f’(x)=arctan(x)+x/(x^2+1)-arctan(x)?
Indeed,the question ask me to answer the first derivative of the function without compute the integral, so I write it out by the fundamental calculus theorem and ask whether my answer is true or not, the ?just a question markWhat theorem did you use to derive that? - Write it explicitly.
Why do have "?" in there? Why do you doubt your answer?
Remember to write "arctan" in functional notation as "arctan(x)". Those parentheses are important indicators.
For the brackets, I know it is important, but I skip it in here since lazyWhat theorem did you use to derive that? - Write it explicitly.
Why do have "?" in there? Why do you doubt your answer?
Remember to write "arctan" in functional notation as "arctan(x)". Those parentheses are important indicators.
Your answer for [f'(x)] is correct. Why do you doubt your answer?Indeed,the question ask me to answer the first derivative of the function without compute the integral, so I write it out by the fundamental calculus theorem and ask whether my answer is true or not, the ?just a question mark
Why didn't you simplify further?Is it wrong in the second half?
View attachment 15115
Please do the subtraction.Is it wrong in the second half?
View attachment 15115