I have been playing around with this for awhile. Then I went back to looking at e like this..
1+(1/n)^n. It seems like if you multiply n by 2 you get a very good approximation for what we were playing around with earlier.
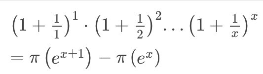
View attachment 39211
Any thoughts?
Edit. It should be the n-2 that gets divided by 2. Sorry
Whether we have [imath] n\, , \,n/2 [/imath] or [imath] (n-2)/2 [/imath] only matters for small values of [imath] n. [/imath] We get [imath] e [/imath] on the right for large [imath] n [/imath] in any of these cases.
If I use [imath] \pi_0(x)=x/ \log(x) [/imath] then I get [imath] e [/imath] on both sides for [imath] n\to \infty [/imath], as before. Your formula
[math] \pi_1(x)=\dfrac{1}{\log(x)-e^{1/\log(x)}} [/math] is more or less identical to [imath] x/\log(x) [/imath] and has the same behavior for very large values of [imath] x. [/imath] This means that there are two possibilities: a) We need a theoretical explanation of where this correction term in the denominator comes from, or b) your formula is a better approximation than the known ones for small values of [imath] x. [/imath]
Let us set [imath] c=e^{\frac{1}{\log(x)}} .[/imath] Then the ratio between your and the known formula is
[math] \dfrac{\pi_1(x)}{\pi_0(x)}=\dfrac{1}{1-\dfrac{c}{\log(x)}} [/math] which converges to one, i.e. the relative error of your formula becomes marginal. However, if we calculate the difference between both formulas, then we get [math] \pi_1(x)-\pi_0(x) =\dfrac{x\cdot c}{\log(x)(\log(x)-c)}\sim \dfrac{x}{\log^2(x)} [/math] for large values of [imath] x. [/imath] Hence, the absolute error becomes larger and larger.
There is a nice list of actual values from [imath] x=10 [/imath] to [imath] x=10^{29} [/imath] on Wikipedia. I will link the German version (scroll to the right) because it also contains a column for a fixed value of [imath] c=1.08366 [/imath] which corresponds to roughly [imath] e^{1/\log(250,000)}. [/imath] The English version is similar, but without [imath] \pi_2(x)=\dfrac{x}{\log(x)-1.08366} [/imath] and without links to https://oeis.org/ where the data were taken from. These data should give you a comparison with your function. Note that the decimal separating signs in German are the other way around:
[math] \text{Engl.:}\;84,367.12345 \quad \text{Germ.:}\;84.367,12345[/math]
Primzahlsatz – Wikipedia
Last edited:







