Now I understand what you mean here because I know that the logarithmic integral \(\displaystyle [ \ \text{Li}(x) \ ]\) yields better approximation for the number of prime numbers as \(\displaystyle x\) gets bigger.It gets more accurate the higher you go.
Yes the goal here is to find the best approximation only using arithmetic in order to get a more intuitive understanding of the primes.That was a beautiful start. I have seen before the prime number theorem which is \(\displaystyle \sim \frac{x}{\ln x}\) as well as Ramanujan's formula \(\displaystyle \frac{x}{\ln x - 1}\).
Also the \(\displaystyle \text{Li}(x)\) function is very famous in the integral world.
\(\displaystyle \text{Li}\left(10^{300}\right) = \int_{2}^{10^{300}} \frac{1}{\ln x} \ dx \approx 1.449750053 \times 10^{297}\)
So, the main idea of this thread is that your discovery is closer to the \(\displaystyle \text{Li}(x)\) function than other approximation methods?
Now I understand what you mean here because I know that the logarithmic integral \(\displaystyle [ \ \text{Li}(x) \ ]\) yields better approximation for the number of prime numbers as \(\displaystyle x\) gets bigger.
Let me apply your formula to my example.
\(\displaystyle \large \pi(100) = \frac{100}{\ln 100 - e^{\frac{1}{\ln 100}}} \approx 30\)
It is still not a bad approximation compared to the actual value which is \(\displaystyle 25\) while we used here a very small number.
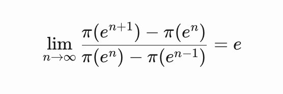
Starting playing around with this equation again.I watched the video now and have two remarks. The first one is a technical one. Starting around 6:45 you introduce the formula
[math] \lim_{n \to \infty}\dfrac{\pi(e^{n+1})-\pi(e^n)}{\pi(e^n)-\pi(e^{n-1})}=e [/math]
I checked with the known formula [imath] \displaystyle{\lim_{n \to \infty}\pi(x)=\dfrac{x}{\log(x)}}. [/imath] I skipped the limits while calculating and put it in again at the end. So my lazy version reads [imath] \pi(e^n)=\dfrac{e^n}{n}. [/imath] Then I got
[math]\begin{array}{lll} \pi(e^n)-\pi(e^{n-1})&=\dfrac{e^n}{n}-\dfrac{e^{n-1}}{n-1}=\dfrac{(n-1)\cdot e \cdot e^{n-1}-n\cdot e^{n-1}}{n^2-n}=\dfrac{e^{n-1}}{n-1}\cdot \left(e-1-(e/n)\right)\\[12pt] \dfrac{\pi(e^n)-\pi(e^{n-1})}{\pi(e^{n+1})-\pi(e^{n})}&= \dfrac{e^{n-1}}{n-1}\dfrac{n}{e^n}\cdot \dfrac{e-1-(e/n)}{e-1-(e/(n+1))}\stackrel{\lim_{n \to \infty}}{\longrightarrow } \displaystyle{\lim_{n \to \infty}\dfrac{1}{(1-(1/n))e}}=\dfrac{1}{e} \end{array}[/math]
So, yes, your observation is correct. This leads me to my second remark. The German Wikipedia has this nice picture
which I think doesn't need a translation. Replace 'ie' by 'y', 'k' and 'z' by 'c' and 'allgemein' by 'general' and you have it in English. Your reasoning is on the inductive side which is a kind of physical approach whereas results in mathematics are on the deductive side. Physics cannot answer the question 'why'. Here is an interesting interview about the 'why' question in physics with Richard Feynman:![]()
Mathematics is all about answering 'why'. It all starts with a collection of axioms, e.g. for set theory and arithmetic, a kind of god-given set of facts that are commonly accepted to be true, e.g. "Every natural number has a successor." You don't have to agree with them. But if not, you will need another collection of axioms and you get a different kind of mathematics. Every theorem in mathematics is finally a chain of deductions based on these assumed facts called axioms.
That's the main problem with observations. It is impossible to get from the inductive side onto the deductive side by empirical methods. An interesting example of this is the Riemann hypothesis. It has been tested for 10,000,000,000,000 many numbers but we still consider it as unproven.
I thought this would be a place with less restrictions, not more. I came here from another website that strictly forbids any "personal theories" which is fine if you want to study something, but problematic if you want to have a comment about an idea. They would rather ban people quickly than give them a bit more leash. What I found, however, was a witch hunt on @logistic_guy and insults if you dare to defend him. Not the kind of tolerance I have been looking for.

The k-th root is a continuous function, so its application doesn't change anything because [imath]\displaystyle{\sqrt[k]{e}=\sqrt[k]{\lim_{n \to \infty}p_n}=\lim_{n\to \infty } \sqrt[k]{p_n} } .[/imath] If we increase [imath] k [/imath] then both sides converge to [imath] 1, [/imath] so only the margins get smaller, but equally on both sides, so nothing basically changes.Starting playing around with this equation again.
View attachment 39387
What would it look like if we took the square root of both sides or the nth root of both sides?
Oh I have spent most of the last year trying to connect e and phi. Hence my other videos. Thanks for the input. Time to ponder….The k-th root is a continuous function, so its application doesn't change anything because [imath]\displaystyle{\sqrt[k]{e}=\sqrt[k]{\lim_{n \to \infty}p_n}=\lim_{n\to \infty } \sqrt[k]{p_n} } .[/imath] If we increase [imath] k [/imath] then both sides converge to [imath] 1, [/imath] so only the margins get smaller, but equally on both sides, so nothing basically changes.
Here is another thought: [imath] e [/imath] occurs naturally in the growth of biological entities, and so does the Fibonacci sequence and therefore the golden ratio, e.g., in the arrangement of the seeds of sunflowers. Hence, there should be a connection between [imath] e [/imath] and [imath] \phi=\dfrac{1+\sqrt{5}}{2} .[/imath] However, [imath] e [/imath] is transcendental and [imath] \phi [/imath] is not. I haven't searched the internet about it, so maybe it's a stupid idea, and they are only related by the Bernoulli spiral, which is at least a logarithmic spiral.
Both ideas, yours and the Fibonacci numbers, have something to do with growth. You try to relate this growth to the [imath] \pi [/imath]-function which also increases with its argument. I would take a step backward and look where the underlying growth relation [imath] y'=y [/imath] can be connected with [imath] \pi(.). [/imath]
I know a connection has already been discovered. But for some reason it’s hard to find again. Which is strange because to me that’s huge. If I come across it again I will let you know.The k-th root is a continuous function, so its application doesn't change anything because [imath]\displaystyle{\sqrt[k]{e}=\sqrt[k]{\lim_{n \to \infty}p_n}=\lim_{n\to \infty } \sqrt[k]{p_n} } .[/imath] If we increase [imath] k [/imath] then both sides converge to [imath] 1, [/imath] so only the margins get smaller, but equally on both sides, so nothing basically changes.
Here is another thought: [imath] e [/imath] occurs naturally in the growth of biological entities, and so does the Fibonacci sequence and therefore the golden ratio, e.g., in the arrangement of the seeds of sunflowers. Hence, there should be a connection between [imath] e [/imath] and [imath] \phi=\dfrac{1+\sqrt{5}}{2} .[/imath] However, [imath] e [/imath] is transcendental and [imath] \phi [/imath] is not. I haven't searched the internet about it, so maybe it's a stupid idea, and they are only related by the Bernoulli spiral, which is at least a logarithmic spiral.
Both ideas, yours and the Fibonacci numbers, have something to do with growth. You try to relate this growth to the [imath] \pi [/imath]-function which also increases with its argument. I would take a step backward and look where the underlying growth relation [imath] y'=y [/imath] can be connected with [imath] \pi(.). [/imath]
When I was a kid, I thought about [imath] 2+2=2\cdot 2=2^2 [/imath] and [imath] \log(a^b)=a\log b\, , \,\log(a\cdot b)=\log a + \log b. [/imath] I thought there might be a binary operation below addition that would solve the problem [imath] \log(a+b)=f(\log a,\log b.) [/imath] Of course, I haven't found one. Addition seems to be the basic operation underlying all others. It is fascinating how deep you can dig and how insights can be gained by starting from simple questions like these.For me this shows some sort of connection between adding and multiplying. The golden ratio is addition growth while e is exponential growth.
Great. Guess I’m spending my day making different kinds of pascals triangles.When I was a kid, I thought about [imath] 2+2=2\cdot 2=2^2 [/imath] and [imath] \log(a^b)=a\log b\, , \,\log(a\cdot b)=\log a + \log b. [/imath] I thought there might be a binary operation below addition that would solve the problem [imath] \log(a+b)=f(\log a,\log b.) [/imath] Of course, I haven't found one. Addition seems to be the basic operation underlying all others. It is fascinating how deep you can dig and how insights can be gained by starting from simple questions like these.
I have recently written an article about Fermat's last theorem and why it took 350 years and a genius to prove it. The easiest question can lead to really hard mathematics.
It's not yet published. I guess the site admin is a bit busy. He made a software update, and now some old features are broken. I hope it's not because of the recent tornadoes in the Midwest.Great. Guess I’m spending my day making different kinds of pascals triangles.
Link to the article?
It's not yet published. I guess the site admin is a bit busy. He made a software update, and now some old features are broken. I hope it's not because of the recent tornadoes in the Midwest.
I will deliver as soon as I have the link.

![]()
“Fee-fi-fo-fum”: Deriving e, ø, and, π from Pascal’s Triangle – Journal of Research in Progress Vol. 1
Russell Schwartz, Howard Community College Mentored by: Mike Long, Ed.D. & Loretta FitzGerald Tokoly, Ph.D. Abstract Recent findings were used in conjunction with the…pressbooks.howardcc.edu
I found it. Maybe the ratio of the rows tend to e in a similar way to our equation
View attachment 39389
The golden ratio is addition growth while e is exponential growth.
Looks a bit like numerology, but interesting. However, as you already mentioned ...
We discussed the connection of [imath] \pi [/imath] and [imath] e [/imath] on that other website recently, and this wasn't an easy task. Euler's formula says [imath] e^{i\pi}+1=0 [/imath] and connects all [imath] 4 [/imath] fundamental mathematical constants, but how to get rid of the complex number? I think the [imath] \pi(.) [/imath] function is closer to [imath] e [/imath] than the number [imath] \pi. [/imath] It has at least a logarithm in its asymptotic behavior.

Thanks for that link. Will definitely go through it when I have time.I agree, there has to be something to the golden ratio. It has a reason architects used it so often in their designs. E.g., here (source Wikipedia, building in Leipzig, Germany).
![]()
[imath] e [/imath] is the local maximum of the function [imath] x\longmapsto \sqrt[x]{x} [/imath] (Jakob Steiner 1850). I have some more equations on https://www.physicsforums.com/insig...onship-between-integration-and-eulers-number/.
Finally had time to go over this. Thank you. This really helped with my obsession of e. Maybe one day our definition of e using prime density will be added to the list lol.I agree, there has to be something to the golden ratio. It has a reason architects used it so often in their designs. E.g., here (source Wikipedia, building in Leipzig, Germany).
![]()
[imath] e [/imath] is the local maximum of the function [imath] x\longmapsto \sqrt[x]{x} [/imath] (Jakob Steiner 1850). I have some more equations on https://www.physicsforums.com/insig...onship-between-integration-and-eulers-number/.
Your have a gift of explaining things very simply to make them easily understandable. I did enjoy reading this but unfortunately I could not ponder it too long as for that last time I did it took up a big chunk of my life lol. I am currently too deep into the primordials. Which I believe is evidence that primes are not just pseudorandom but actually random.Here is the promised link to the article about [imath] a^n+b^n=c^n, [/imath] Fermat's last theorem.
![]()
Fermat's Last Theorem
To this day, even after the more than 100-page solution to the problem, full of elaborate mathematics, laypeople still attempt to prove the theorem.www.physicsforums.com
I hope it works. Something was different from previous articles.