Complicated Limit Problems

Did you do 109? It looks like 110 is a generalization of that.

Did you try 111 at all? Once you replace the function with its expression, there's not a lot to do.

By the way, if you just want to learn calculus, without becoming a champion, you probably don't need to do challenge problems. They are presumably not needed for understanding subsequent topics. And if you just jumped to the hardest ones, you're probably missing what they hope you'll learn from the easier ones.
 
Did you do 109? It looks like 110 is a generalization of that.

Did you try 111 at all? Once you replace the function with its expression, there's not a lot to do.

By the way, if you just want to learn calculus, without becoming a champion, you probably don't need to do challenge problems. They are presumably not needed for understanding subsequent topics. And if you just jumped to the hardest ones, you're probably missing what they hope you'll learn from the easier ones.

1. You are right. I am not trying to be a champion of Calculus. Although I do like the thought of it.

2. I want you to do 110. I can then use your steps to do 109. It's not needed as long as I can do the regular limit problems taught in all calculus 1 courses.
 
I want you to do 110. I can then use your steps to do 109.
No, I won't, and for a good reason.

If I were given 110 to do, I would first follow the technique of "try a simpler problem first", which would lead to making up problem 109 and solving that! Then I would use the technique I worked out for 109 to try 110. Reversing the process would be unnatural, and unpedagogical.

If you want to do it at all, you need to do it in a way that you would learn from. And if you don't see how to do 109, that is sort of an extension of other examples you will have seen involving radicals and their conjugates. (And 108 is an extension of that idea in a very different direction.)
 
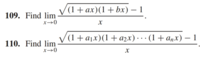
110. Example 14 on page 88 will do it.
(It probably is a good idea to do 109 this way and then generalise).

1615758152117.png
 
Last edited:
Beer soaked non sequitur ramblings follow.
... 2. I want you to do 110. ...
I want to be young again and I want to travel back in time but I guess I'm just doomed to remain old and remain where I am.
 
No, I won't, and for a good reason.

If I were given 110 to do, I would first follow the technique of "try a simpler problem first", which would lead to making up problem 109 and solving that! Then I would use the technique I worked out for 109 to try 110. Reversing the process would be unnatural, and unpedagogical.

If you want to do it at all, you need to do it in a way that you would learn from. And if you don't see how to do 109, that is sort of an extension of other examples you will have seen involving radicals and their conjugates. (And 108 is an extension of that idea in a very different direction.)

Ok. No problem. Thanks anyway.
 
I will all of them on my own. Thanks for nothing.

I'm curious, why are you studying this? Would I be correct that you're not really enjoying it?

In my own study of mathematics it would be very true to say that initially I didn't enjoy the subject. But I had a strict (and pretty scary) teacher who pushed me on. And after a while, I got to grips with it and began to see the beauty in the subject. In retrospect I am very grateful to that teacher. Therefore I recommend that you don't try to run before you can walk, and KEEP pushing yourself forward. Only YOU can learn it. No-one else can force it into your brain. I think it's worth the effort of keeping going!
 
1615839886709.png

Please show us what you have tried and exactly where you are stuck.

Please follow the rules of posting in this forum, as enunciated at:


Please share your work/thoughts about this problem.
 
I'm curious, why are you studying this? Would I be correct that you're not really enjoying it?

In my own study of mathematics it would be very true to say that initially I didn't enjoy the subject. But I had a strict (and pretty scary) teacher who pushed me on. And after a while, I got to grips with it and began to see the beauty in the subject. In retrospect I am very grateful to that teacher. Therefore I recommend that you don't try to run before you can walk, and KEEP pushing yourself forward. Only YOU can learn it. No-one else can force it into your brain. I think it's worth the effort of keeping going!

Brother, I am 55 years old. My college days are behind me. It's a course I always wanted to take back in my school days. I will not stop here. It is my goal to go into Calculus 3 in the next year and a half.
 
View attachment 25766

Please show us what you have tried and exactly where you are stuck.

Please follow the rules of posting in this forum, as enunciated at:


Please share your work/thoughts about this problem.

Will do when time allows. It's 8:40pm. About to start working at 9pm (9pm to 7am) with only two hours of sleep for the whole entire Monday. I am a walking dead man.
 
I'm curious, why are you studying this? Would I be correct that you're not really enjoying it?

In my own study of mathematics it would be very true to say that initially I didn't enjoy the subject. But I had a strict (and pretty scary) teacher who pushed me on. And after a while, I got to grips with it and began to see the beauty in the subject. In retrospect I am very grateful to that teacher. Therefore I recommend that you don't try to run before you can walk, and KEEP pushing yourself forward. Only YOU can learn it. No-one else can force it into your brain. I think it's worth the effort of keeping going!

You should be encouraging in your reply not putting me down by asking questions of doubt.
 
Beer soaked ramblings follow.
Brother, I am 55 years old. My college days are behind me. It's a course I always wanted to take back in my school days. I will not stop here. It is my goal to go into Calculus 3 in the next year and a half.
Translation: I always like to mention my age and education background as an argument opener for people to give me a break.
You should be encouraging in your reply not putting me down by asking questions of doubt.
Translation: Give me a break brother.
 
Top