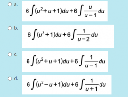
Our professor has given us a math test and he didn't give any solving formula for a certain type of problems. I have scattered the internet, ask students from previous years for help to find the correct answer but for one problem (we had a lot) we cannot seem to understand how we can come to a certain conclusion. So I would be grateful if you could help. Anyway, he asks; "with the correct use of transformation the given integral; [math]\int \frac{1}{\sqrt{x+2-\sqrt[3]{x+2}}}dx[/math], can be also written as;". The given choices are the following;

Thank you in advance for your help and my apologies for any mistakes, english is not my native language.

Thank you in advance for your help and my apologies for any mistakes, english is not my native language.




