Solution of Laplace eq with Robbins boundary condition

Yes, but I'm confused in how I can evaluate u(x,y)

The integral Fk requires me to input u(0,y) and integrating. But u(0,y) also contains u(0,y).
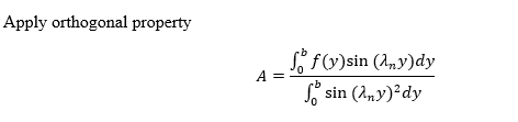
[imath]F(y)[/imath] depends on [imath]u(0,y)[/imath]. And since [imath]u(0,y)[/imath] is unknown function, you cannot evaluate. You can only write the general solution of the PDE. If they want you to evaluate [imath]F_k[/imath], they must give the value of [imath]u(0,y)[/imath].

For example, if they tell you that:

[imath]u(0,y) = 5y[/imath]

Then,

you can solve [imath]F_k[/imath] and any other constants that depend on [imath]F_k[/imath].

It is not the end of the world. You can play around by choosing any value for [imath]u(0,y)[/imath] and solve [imath]F_k[/imath] if you want. Who will stop you?

😉
 
Last edited:
I see what you mean. Thanks, this is really helpful.

I understand how you broke up the problem using the superposition principle.

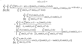
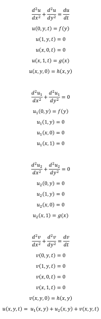
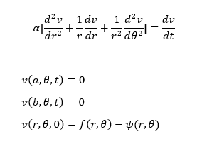
If I use the superposition principle could I also solve a transient problem like below?

1728399942188.png
 
I see what you mean. Thanks, this is really helpful.

I understand how you broke up the problem using the superposition principle.

If I use the superposition principle could I also solve a transient problem like below?

View attachment 38699
The first equation is a two dimensional heat equation and it will always come with homogeneous boundary conditions in rectangular coordinate. Let me guess, you have made up that problem to have nonhomogeneous boundary conditions, right?

The last equation is a valid two dimensional heat equation and it can be solved normally by separation of variables. The second and third equations are just Laplace equations and they can be solved the same way we did with the OP problem no matter what are the boundary conditions.

The one dimensional heat equation can have nonhomogeneous boundary conditions. It can even have a time-dependent source function. The heat equation with higher dimensions in other coordinate systems can have nonhomogeneous boundary conditions.

Partial Differential Equations become more interesting when the domain is [imath]-\infty < x < \infty[/imath]. Most of the time, you will have no choice but to solve them by either Fourier or Laplace transform.
 
If you are looking for a three dimensional fun challenging Laplace equation in rectangular coordinate system, try this:

[imath]\displaystyle \frac{\partial^2 u}{\partial x^2} + \frac{\partial^2 u}{\partial y^2} + \frac{\partial^2 u}{\partial z^2} = 0[/imath]

[imath]u(0, y, z) = 0[/imath]
[imath]u(a, y, z) = 0[/imath]
[imath]u(x, 0, z) = 0[/imath]
[imath]u(x, b, z) = 0[/imath]
[imath]u(x, y, 0) = f(x,y)[/imath]
[imath]u(x, y, c) = 0[/imath]

[imath]0 < x < a[/imath]
[imath]0 < y < b[/imath]
[imath]0 < z < c[/imath]

----------------------------------------------

If you are looking for a two dimensional fun challenging Heat equation in rectangular coordinate system, try this:

[imath]\displaystyle k\left(\frac{\partial^2 u}{\partial x^2} + \frac{\partial^2 u}{\partial y^2}\right) = \frac{\partial u}{\partial t}[/imath]

[imath]\displaystyle \frac{\partial u}{\partial x}\bigg|_{x=0} = 0, \ \ \ \ \ \frac{\partial u}{\partial x}\bigg|_{x=1} = 0[/imath]

[imath]\displaystyle \frac{\partial u}{\partial y}\bigg|_{y=0} = 0, \ \ \ \ \ \frac{\partial u}{\partial y}\bigg|_{y=1} = 0[/imath]

[imath]\displaystyle u(x,y,0) = f(x,y)[/imath]

[imath]\displaystyle 0 < x < 1[/imath]
[imath]\displaystyle 0 < y < 1[/imath]
[imath]\displaystyle t > 0[/imath]
 
I will try those. I will also try the problem I made up.

Thanks, for all your help so far. You've really helped me.
 
I will try those. I will also try the problem I made up.

Thanks, for all your help so far. You've really helped me.
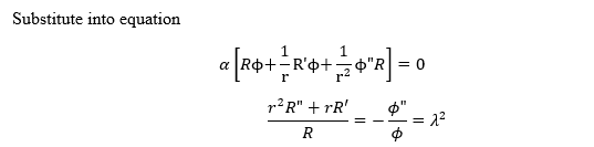
I have never seen a two dimensional heat equation that has nonhomogeneous boundary conditions in rectangular coordinate system. But by playing around I could force the boundaries to be homogenous. It is similar to your idea of the superposition principle, but an easier version.

Let [imath]u(x,y,t) = g(x,y) + v(x,y,t)[/imath].

After substituting this into the original differential equation (first equation) and applying the boundary conditions, you will get these two equations:

[imath]\displaystyle \frac{\partial^2 g}{\partial x^2} + \frac{\partial^2 g}{\partial y^2} = 0[/imath]

[imath]g(0,y) = f(y)[/imath]
[imath]g(1,y) = 0[/imath]
[imath]g(x,0) = 0[/imath]
[imath]g(x,1) = g(x)[/imath]

[imath]0 < x < 1[/imath]
[imath]0 < y < 1[/imath]

-----------------------------------------

[imath]\displaystyle \frac{\partial^2 v}{\partial x^2} + \frac{\partial^2 v}{\partial y^2} = \frac{\partial v}{\partial t}[/imath]

[imath]v(0,y,t) = 0[/imath]
[imath]v(1,y,t) = 0[/imath]
[imath]v(x,0,t) = 0[/imath]
[imath]v(x,1,t) = 0[/imath]
[imath]v(x,y,0) = h(x,y) - g(x,y) = m(x,y)[/imath]

[imath]0 < x < 1[/imath]
[imath]0 < y < 1[/imath]
[imath]t > 0[/imath]

----------------------------

The first equation is just a Laplace equation that can be solved by the same method we have used in the OP problem. And the second equation is the normal two dimensional Heat equation that we know and it can solve by separation of variables.
 
Last edited:
Your step:

[imath]c_4 = -c_3\tan(\lambda b)[/imath] which is meant to be [imath]c_4 = -c_3\tanh(\lambda b)[/imath]

It is not wrong to do that, but I do not recommend it. I prefer to leave the hyperbolic solution alone and to find the constants from the solution of the superposition principle[imath]\displaystyle \ \rightarrow \Psi_2(x,y) = \sum_{n=1}^{\infty} \cdots[/imath]

When you solved the Heat equation, you wrote the second boundary condition as [imath]\displaystyle \frac{du(b,y,t)}{dy} = 0[/imath]. I am sure you meant to write [imath]\displaystyle \frac{du(x,b,t)}{dy} = 0[/imath].

You write the eigenvalues as:

[imath]\displaystyle \lambda = \frac{n\pi}{a} + \frac{\pi}{2a}[/imath]

when they are simply:

[imath]\displaystyle \lambda = \frac{(2n - 1)\pi}{2a}[/imath]

I will show you how to do it. You have found the first solution as:

[imath]X(x) = c_2\sin(\lambda x)[/imath]

The second boundary condition is [imath]X'(a) = 0[/imath].

Then

[imath]0 = c_2\lambda\cos(\lambda a)[/imath]

We know that [imath]c_2 \neq 0 \ \text{and} \ \lambda \neq 0[/imath], so it must be [imath]\cos(\lambda a) = 0[/imath]

The cosine function is zero when [imath]\displaystyle \lambda a = \frac{\pi}{2}, \frac{3\pi}{2}, \frac{5\pi}{2},\cdots \frac{k\pi}{2} \ \ \ \ \ (\lambda a > 0)[/imath]

It is obvious that [imath]k[/imath] is an odd integer, so [imath]k = 2n - 1[/imath].

Then

[imath]\displaystyle \lambda a = \frac{(2n - 1)\pi}{2}[/imath]

Or

[imath]\displaystyle \lambda = \frac{(2n - 1)\pi}{2a}[/imath]

Or

[imath]\displaystyle \lambda_n = \frac{(2n - 1)\pi}{2a}, \ \ \ \ \ n =1,2,3,\cdots[/imath]

I have not checked everything in details, but I think that you have solved the problem perfectly!

🫡
 
Last edited:
Thank you for all of your feedback. Your assistance is invaluable.

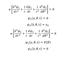
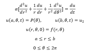
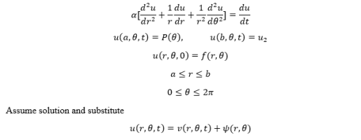
I want to try to do a similar problem with a radial coordinate system.
 
I will post my work when I complete it.
Waiting...

😇


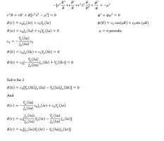
Remarks:

Since one of the boundary conditions is a constant, [imath]u_2[/imath], I would start this approach:

[imath]\displaystyle u(r,\theta,t) = v(r,\theta,t) + \psi(r,\theta)[/imath]

where

[imath]\displaystyle \psi(r,\theta) = \psi_1(r) + \psi_2(r,\theta)[/imath]

And I will let [imath]\displaystyle \psi_1(r)[/imath] takes care of the constant [imath]\displaystyle u_2[/imath] while [imath]\displaystyle \psi_2(r,\theta)[/imath] will take care of the function [imath]\displaystyle P(\theta)[/imath].

Solving the heat equation [imath]v(r,\theta, t)[/imath] in polar coordinate will certainly involve Bessel functions. And since the initial condition [imath]v(r,\theta, 0) = h(r,\theta)[/imath] depends on two variables, it will take you some extra work to find the constants.

Revisiting this thread will help you refresh some ideas.

It is really a fun and challenging problem!

💀
 
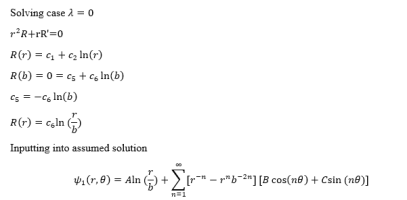
I noticed we are forgetting the lambda = 0 case in the last problem.

I have included it on this problem.
 
A few remarks:

When you split the main function [imath]u[/imath] into two functions, one of them is [imath]\psi[/imath]. This function does not depend on time, so it should be written as [imath]\psi(r,\theta)[/imath]. Also when you split [imath]\psi(r,\theta)[/imath] into [imath]\psi_1[/imath] and [imath]\psi_2[/imath], one of them will obviously not depend on [imath]\theta[/imath], particularly the one that will hold the constant as a boundary condition, so it should be written as [imath]\psi_1(r)[/imath].

Other things were done perfectly!

You solved the time problem correctly. [imath]T(t)[/imath]
You solved the angular problem correctly. [imath]\phi(\theta)[/imath]
You solved the radial problem correctly. [imath]R(r)[/imath]

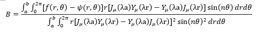
And you solved the Bessel problem correctly [imath]J_{\mu}[/imath]. I am impressed that you could handle the constants easily when they were new ideas as the initial condition of the heat equation depended on two variables!

Lastly the Bessel order starts at [imath]\mu = 0[/imath], so the summation should be written as [imath]\displaystyle \sum_{\mu = 0}^{\infty}[/imath] and don't forget to write [imath]\lambda[/imath] with two indices [imath]\lambda_{\mu n}[/imath] because it is holding the [imath]n[/imath]th zero of [imath]R_{\mu}(r)[/imath]. And I forgot to mention that you forgot to find [imath]A_{0n}[/imath] in the heat equation!

BravooO 👏


Note: If you are interested to solve more PDEs problems in the future, please open a new thread as this thread is becoming very large while its main purpose was done a long time ago!
 
Last edited:
Top