Solution of Laplace eq with Robbins boundary condition

I would like to.

However I have a new question in addition to the original problem

It is regarding the boundary condition where
1729623221813.png

When solving 1D transient heat problems a substitution was allowed to eliminate it from the solution. I would imagine there is a way with the steady state Laplace equation.
 

Attachments

  • 1729623115307.png
    1729623115307.png
    915 bytes · Views: 1
A few remarks:

When you split the main function [imath]u[/imath] into two functions, one of them is [imath]\psi[/imath]. This function does not depend on time, so it should be written as [imath]\psi(r,\theta)[/imath]. Also when you split [imath]\psi(r,\theta)[/imath] into [imath]\psi_1[/imath] and [imath]\psi_2[/imath], one of them will obviously not depend on [imath]\theta[/imath], particularly the one that will hold the constant as a boundary condition, so it should be written as [imath]\psi_1(r)[/imath].

Other things were done perfectly!

You solved the time problem correctly. [imath]T(t)[/imath]
You solved the angular problem correctly. [imath]\phi(\theta)[/imath]
You solved the radial problem correctly. [imath]R(r)[/imath]

And you solved the Bessel problem correctly [imath]J_{\mu}[/imath]. I am impressed that you could handle the constants easily when they were new ideas as the initial condition of the heat equation depended on two variables!

Lastly the Bessel order starts at [imath]\mu = 0[/imath], so the summation should be written as [imath]\displaystyle \sum_{\mu = 0}^{\infty}[/imath] and don't forget to write [imath]\lambda[/imath] with two indices [imath]\lambda_{\mu n}[/imath] because it is holding the [imath]n[/imath]th zero of [imath]R_{\mu}(r)[/imath]. And I forgot to mention that you forgot to find [imath]A_{0n}[/imath] in the heat equation!

BravooO 👏


Note: If you are interested to solve more PDEs problems in the future, please open a new thread as this thread is becoming very large while its main purpose was done a long time ago!
Is
1729623641886.png
referring to a lambda = 0 case?
 
I would like to.

However I have a new question in addition to the original problem

It is regarding the boundary condition where
View attachment 38765

When solving 1D transient heat problems a substitution was allowed to eliminate it from the solution. I would imagine there is a way with the steady state Laplace equation.
I understand what you are trying to say. This type of boundary conditions can sometimes be handled and sometimes cannot be handled. It all depends on the nature of the PDE problem. Some PDEs give you extra conditions and hints that allow you to find the value of [imath]u(0,y)[/imath] from the solution itself by a recursive style. If this problem was a book problem and its solution was at the back of the book, we can try to do something to figure it out. But since you have made up this problem, we will be clueless what to do. The best we can do is just to leave it in the general solution as it was given!

Is
View attachment 38767
referring to a lambda = 0 case?
Not [imath]\lambda[/imath], but the order of the Bessel function [imath]\rightarrow \mu[/imath].
 
Last edited:
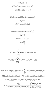
Perhaps you are right. I still attempted a solution. The result is not quite correct when I try to input numbers into the solution variables.

1729625330147.png
 
You forgot to find it because when you were solving the angular problem [imath]\phi'' + \phi\mu^2 = 0[/imath], you forgot [imath]\mu[/imath] will give a periodic solution, particularly a constant.

[imath]\phi(\theta) = c_1 + c_2\theta[/imath]

This function is periodic when [imath]c_2 = 0[/imath], and we have an eigenvalue for [imath]\mu = 0[/imath], particularly [imath]\phi_0 = c_1[/imath]

or

[imath]\phi_0 = c_0[/imath]

Perhaps you are right. I still attempted a solution. The result is not quite correct when I try to input numbers into the solution variables.

View attachment 38768
And I am clueless how to handle it without further hints!

😬
 
You forgot to find it because when you were solving the angular problem [imath]\phi'' + \phi\mu^2 = 0[/imath], you forgot [imath]\mu[/imath] will give a periodic solution, particularly a constant.

[imath]\phi(\theta) = c_1 + c_2\theta[/imath]

This function is periodic when [imath]c_2 = 0[/imath], and we have an eigenvalue for [imath]\mu = 0[/imath], particularly [imath]\phi_0 = c_1[/imath]

or

[imath]\phi_0 = c_0[/imath]


And I am clueless how to handle it without further hints!

😬
I see what you are saying about the angular solution.

Yes, perhaps I made an unsolvable problem.
 
Still it was beautiful to explore new ideas. You have combined all your skills in one problem and it was fun and challenging. And I think that was super.

You are creative!

🧑‍🎨
Thank you. You have also been the best.

I want to further my understanding and push to the limit of what is possible with this PDE.
 
Top